Последнее обновление :
18/03/2026
Сосудорасширяющее средство   Alprostadil  
Инъекция
Стабильность растворов Стабильность смесей Факторы, которые влияют на стабильность Совместимость Способы введения Библиография pdf
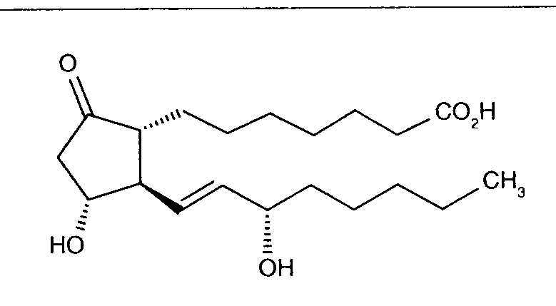
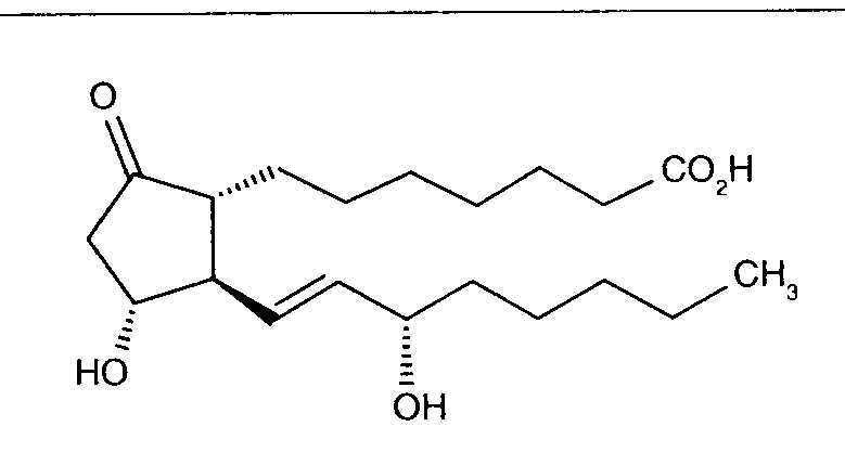
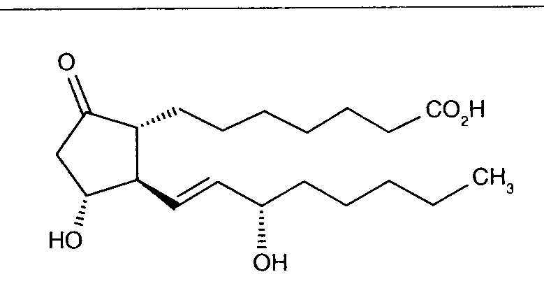
   Химическая структура  

Товарное название   Товарное название     

Trade names are indicative and excipients composition can be different depending on the country and manufacturers

Alfaprostin Египет
Alistint Мексика, Перу
Alprostadil Австралия, Аргентина, Германия, Испания, Канада, Малайзия, Перу, Румыния, Саудовская Аравия, Соединённые Штаты Америки, Турция, чили, Эквадор
Alprostapint Австрия, Аргентина, Венгрия, Колумбия, Перу, Эквадор
Alprostar Италия
Aplicav
Cardiobonisol Польша
Caverject Австрия, Бельгия, Бразилия, Великобритания, Дания, Испания, Италия, Канада, Колумбия, Норвегия, Объединенные Арабские Эмираты, Польша, Португалия, Словения, Соединённые Штаты Америки, Турция, Франция, чили, Швейцария, Швеция
Edex Греция, Соединённые Штаты Америки, Тунис, Франция
Liple Япония
Minprog Австрия, Германия
Ostapint Мексика, Перу
Palux Япония
Pridax Австрия, Германия, Испания, Румыния
Prolisina VR Аргентина
Prostandin Япония
Prostavasin Австрия, Венгрия, Германия, Египет, Иран, Италия, Люксембург, Польша
Prostin VR Бельгия, Великобритания, Венгрия, Венесуэла, Голландия, Греция, Дания, Иран, Италия, Канада, Колумбия, Люксембург, Малайзия, Норвегия, Польша, Португалия, Саудовская Аравия, Соединённые Штаты Америки, Финляндия, Хорватия, Швейцария
Prostine VR Франция
Vasaprostan Румыния
Стабильность смесей   Инъекция   Стабильность смесей : Alprostadil     
Упаковка Растворитель Концентрация Молекула Температура Хранение Продолжительность стабильности Ссылки
Стекло NaCl 0,9% + антибактериальный 12,5 µg/ml
Инъекция   Alprostadil   
Инъекция   Papaverine hydrochloride 4,5 mg/ml
Инъекция   Phentolamine mesylate 0,125 mg/ml
-20°C
180 День
Защищён от света 1899
Уровень доказательности A
Стекло NaCl 0,9% + антибактериальный 12,5 µg/ml
Инъекция   Alprostadil   
Инъекция   Papaverine hydrochloride 4,5 mg/ml
Инъекция   Phentolamine mesylate 0,125 mg/ml
4°C
30 День
Защищён от света 1899
Уровень доказательности A
Полипропилен Натрия хлорид 0,9% 15 µg/ml
Инъекция   Alprostadil   
Инъекция   Papaverine hydrochloride 15 mg/ml
Инъекция   Urapidil 2 mg/ml
2-8°C
55 День
Защищён от света 3448
Уровень доказательности B

  Mentions Légales