viimane versioon :
18/03/2026
vasodilataator   Alprostadil  
Süsteravim
Stabiilsus lahustes Stabiilsust mõjutavad tegurid stabiilsust mõjutavad faktorid Sobimatus Manustamis viis Viited pdf
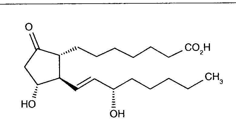
   keemiline struktuur  

Kaubanduslikud nimed erinevates maades   Kaubanduslikud nimed erinevates maades     

Preparaatide nimed on näitlikud ja abianete sisaldus võib erineda sõltuvalt riigist ja laborist

Alfaprostin Egiptus
Alistint Maroko, Mehhiko
Alprostadil Ameerika ühendriigid, Argentiina, Austraalia, Ecuador, Hispaania, Kanada, Malaisia, Maroko, Rumeenia, Saksamaa, Saudi Araabia, Tšiili, Türgi
Alprostapint Argentiina, Austria, Ecuador, Kolumbia, Maroko, Ungari
Alprostar Itaalia
Aplicav
Cardiobonisol Poola
Caverject Ameerika ühendriigid, Araabia Ühendemiraadid, Austria, Belgia, Brasiilia, Hispaania, Itaalia, Kanada, Kolumbia, Norra, Poola, Portugal, Prantsusmaa, Rootsi, Sloveenia, Suurbritannia, Sveits, Taani, Tšiili, Türgi
Edex Ameerika ühendriigid, Kreeka, Prantsusmaa, Tuneesia
Liple Jaapan
Minprog Austria, Saksamaa
Ostapint Maroko, Mehhiko
Palux Jaapan
Pridax Austria, Hispaania, Rumeenia, Saksamaa
Prolisina VR Argentiina
Prostandin Jaapan
Prostavasin Austria, Egiptus, Iraan, Itaalia, Luksemburg, Poola, Saksamaa, Ungari
Prostin VR Ameerika ühendriigid, Belgia, Holland, Horvaatia, Iraan, Itaalia, Kanada, Kolumbia, Kreeka, Luksemburg, Malaisia, Norra, Poola, Portugal, Saudi Araabia, Soome, Suurbritannia, Sveits, Taani, Ungari, Venetsueela
Prostine VR Prantsusmaa
Vasaprostan Rumeenia
Stabiilsust mõjutavad tegurid   Süsteravim   Stabiilsust mõjutavad tegurid : Alprostadil     
konteiner lahusti kontsentratsioon ingredient temperatuur ladustamine Stabiilsuse kestus Viited
klaas NaCl 0,9%+  apürogeenne vesi 12,5 µg/ml
Süsteravim   Alprostadil   
Süsteravim   Papaverine hydrochloride 4,5 mg/ml
Süsteravim   Phentolamine mesylate 0,125 mg/ml
-20°C
180 päev
kaitsta valguse eest 1899
Tõenduspõhisuse tase A
klaas NaCl 0,9%+  apürogeenne vesi 12,5 µg/ml
Süsteravim   Alprostadil   
Süsteravim   Papaverine hydrochloride 4,5 mg/ml
Süsteravim   Phentolamine mesylate 0,125 mg/ml
4°C
30 päev
kaitsta valguse eest 1899
Tõenduspõhisuse tase A
polüpropüleen naatriumkloriid 0.9% 15 µg/ml
Süsteravim   Alprostadil   
Süsteravim   Papaverine hydrochloride 15 mg/ml
Süsteravim   Urapidil 2 mg/ml
2-8°C
55 päev
kaitsta valguse eest 3448
Tõenduspõhisuse tase B

  Mentions Légales