Poslední aktualizace :
18/03/2026
Vasodilatans   Alprostadil  
injekce
Stabilita roztoků Stabilita směsí Faktory ovlivňující stabilitu Kompatibilita Způsoby aplikace Odkazy pdf
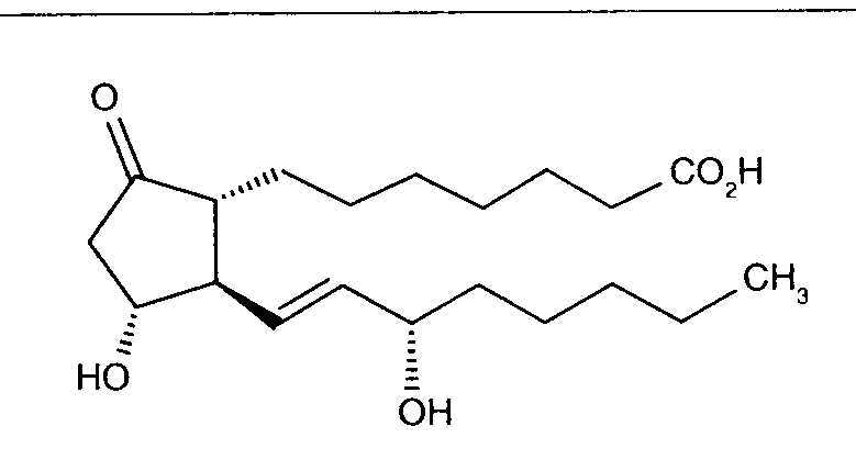
   Chemický vzorec  

Obchodní název   Obchodní název     

Trade names are indicative and excipients composition can be different depending on the country and manufacturers

Alfaprostin Egypt
Alistint Mexiko, Peru
Alprostadil äpanÏlsko, Argentina, Austrálie, Chile, Ekvádor, Kanada, Malajsie, NÏmecko, Peru, Rumunsko, Saúdská Arábie, Turecko, USA
Alprostapint Argentina, Ekvádor, Kolumbie, MaÔarsko, Peru, Rakousko
Alprostar Itálie
Aplicav
Cardiobonisol Polsko
Caverject äpanÏlsko, Belgie, BrazÌlie, Chile, Dánsko, Francie, Itálie, Kanada, Kolumbie, Norsko, Polsko, Portugalsko, Rakousko, Slovinsko, Spojené arabské emiráty, Švédsko, Švýcarsko, Turecko, USA, Velká Británie
Edex Francie, Tunisko, USA, ÿecko
Liple Japonsko
Minprog NÏmecko, Rakousko
Ostapint Mexiko, Peru
Palux Japonsko
Pridax äpanÏlsko, NÏmecko, Rakousko, Rumunsko
Prolisina VR Argentina
Prostandin Japonsko
Prostavasin Egypt, Írán, Itálie, Lucembursko, MaÔarsko, NÏmecko, Polsko, Rakousko
Prostin VR Belgie, Chorvatsko, Dánsko, Finsko, Írán, Itálie, Kanada, Kolumbie, Lucembursko, Malajsie, MaÔarsko, Nizozemsko, Norsko, Polsko, Portugalsko, Saúdská Arábie, Švýcarsko, USA, Velká Británie, Venezuela, ÿecko
Prostine VR Francie
Vasaprostan Rumunsko
Stabilita směsí   injekce   Stabilita směsí : Alprostadil     
Obal RozpouötÏdlo Koncentrace SlouËenina Teplota Uchovávání Trvání stability Odkazy
Sklo NaCl 0,9% + antibakterial 12,5 µg/ml
injekce   Alprostadil   
injekce   Papaverine hydrochloride 4,5 mg/ml
injekce   Phentolamine mesylate 0,125 mg/ml
-20°C
180 Den
Chráněno před světlem 1899
Úroveň zkoušky A
Sklo NaCl 0,9% + antibakterial 12,5 µg/ml
injekce   Alprostadil   
injekce   Papaverine hydrochloride 4,5 mg/ml
injekce   Phentolamine mesylate 0,125 mg/ml
4°C
30 Den
Chráněno před světlem 1899
Úroveň zkoušky A
polypropylen Chlorid sodný 0,9% 15 µg/ml
injekce   Alprostadil   
injekce   Papaverine hydrochloride 15 mg/ml
injekce   Urapidil 2 mg/ml
2-8°C
55 Den
Chráněno před světlem 3448
Úroveň zkoušky B

  Mentions Légales