Posledná aktualizácia :
27/11/2025
vazodilatans   Alprostadil  
Injekcia
Stabilita roztokov Stabilita v zmesiach Faktory ovplyvňujúce stabilitu Kompatibility spôsob podania Odkazy na literatúru PDF
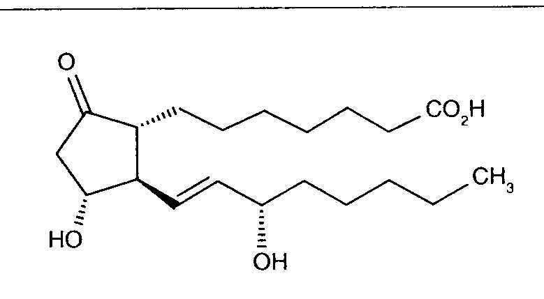
   Chemický vzorec  

Obchodný názov   Obchodný názov     

Obchodné názvy sú orientačné, a zloženie pomocných látok sa môže líšiť v závislosti od krajiny a výrobcu.

Alfaprostin Egypt
Alistint Mexiko, peru
Alprostadil Argentína, Austrália, Čile, Ekvádor, Kanada, Malajzia, Nemecko, peru, Rumunsko, Saudská Arábia, Španielsko, Spojené štáty Americké, Turecko
Alprostapint Argentína, Ekvádor, Kolumbia, Maďarsko, peru, Rakúsko
Alprostar Taliansko
Aplicav
Cardiobonisol Poľsko
Caverject Belgicko, Brazília, Čile, Dánsko, Francúzsko, Kanada, Kolumbia, Nórsko, Poľsko, Portugalsko, Rakúsko, Slovinsko, Španielsko, Spojené arabské emiráty, Spojené štáty Americké, Švajčiarsko, Švédsko, Taliansko, Turecko, Veľká Británia
Edex Francúzsko, Grécko, Spojené štáty Americké, Tunisko
Liple Japonsko
Minprog Nemecko, Rakúsko
Ostapint Mexiko, peru
Palux Japonsko
Pridax Nemecko, Rakúsko, Rumunsko, Španielsko
Prolisina VR Argentína
Prostandin Japonsko
Prostavasin Egypt, Irán, Luxembursko, Maďarsko, Nemecko, Poľsko, Rakúsko, Taliansko
Prostin VR Belgicko, Chorvátsko, Dánsko, Fínsko, Grécko, Holandsko, Irán, Kanada, Kolumbia, Luxembursko, Maďarsko, Malajzia, Nórsko, Poľsko, Portugalsko, Saudská Arábia, Spojené štáty Americké, Švajčiarsko, Taliansko, Veľká Británia, Venezuela
Prostine VR Francúzsko
Vasaprostan Rumunsko
Stabilita v zmesiach   Injekcia   Stabilita v zmesiach : Alprostadil     
obal rozpúšťadlo koncentrácia Zlúčenina teplota uchovávanie Trvanie stability odkazy na lieteratúru
Sklo 0,9% chlorid sodný + antibakteriálna látka 12,5 µg/ml
Injekcia   Alprostadil   
Injekcia   Papaverine hydrochloride 4,5 mg/ml
Injekcia   Phentolamine mesylate 0,125 mg/ml
-20°C
180 dní
Chránené pred svetlom 1899
Úroveň dôkazov A
Sklo 0,9% chlorid sodný + antibakteriálna látka 12,5 µg/ml
Injekcia   Alprostadil   
Injekcia   Papaverine hydrochloride 4,5 mg/ml
Injekcia   Phentolamine mesylate 0,125 mg/ml
4°C
30 dní
Chránené pred svetlom 1899
Úroveň dôkazov A
polypropylén 0,9% chlorid sodný 15 µg/ml
Injekcia   Alprostadil   
Injekcia   Papaverine hydrochloride 15 mg/ml
Injekcia   Urapidil 2 mg/ml
2-8°C
55 dní
Chránené pred svetlom 3448
Úroveň dôkazov B

  Mentions Légales