Última actualização :
18/03/2026
Vasodilatador   Alprostadil  
injetável
Estabilidade em soluções simples Estabilidade em misturas Factores que afectam a sua estabilidade Compatibilidade Método de administração Bibliografía pdf
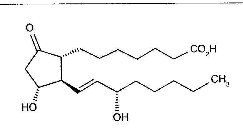
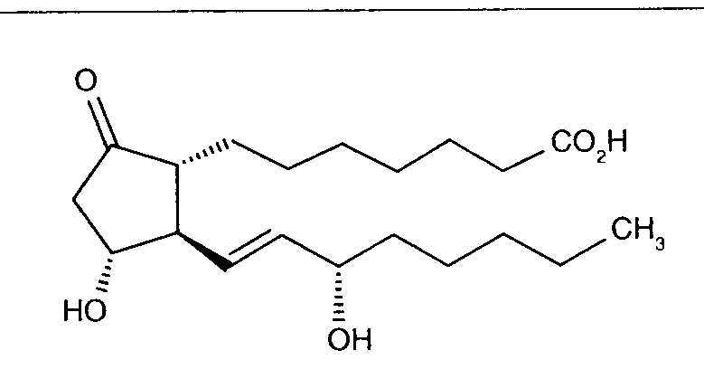
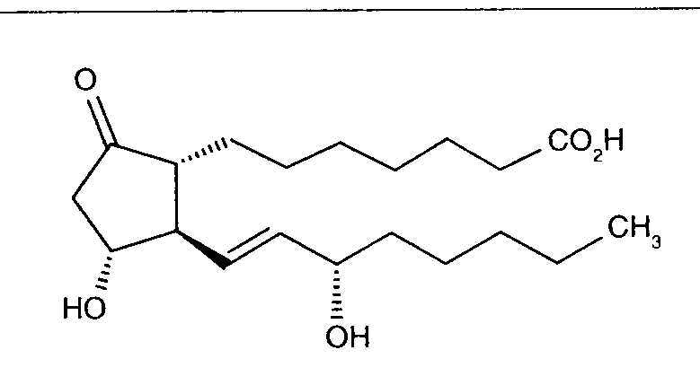
   estrutura química  

Nomes comerciais nos diversos países   Nomes comerciais nos diversos países     

OS NOMES COMERCIAIS SÃO INDICATIVOS E OS EXCIPIENTES DA FORMULAÇÃO PODEM SER DIFERENTES CONFORME O PAÍS E FABRICANTE.

Alfaprostin Egipto
Alistint México, Peru
Alprostadil Alemanha, Arábia Saudita, Argentina, Australia, Canadá, Chilli, Equator, Espanha, Estados Unidos de América, Malásia, Peru, Romènia, Turquia
Alprostapint Argentina, Austria, Colômbia, Equator, Hungria, Peru
Alprostar Itália
Aplicav
Cardiobonisol Polonia
Caverject Austria, Bélgica, Brasil, Canadá, Chilli, Colômbia, Dinamarca, Emirados Árabes Unidos, Eslovenia, Espanha, Estados Unidos de América, França, Gran-bretanha, Itália, Noruega, Polonia, Portugal, Suècia, Suicia, Turquia
Edex Estados Unidos de América, França, Grècia, Tunísia
Liple Japón
Minprog Alemanha, Austria
Ostapint México, Peru
Palux Japón
Pridax Alemanha, Austria, Espanha, Romènia
Prolisina VR Argentina
Prostandin Japón
Prostavasin Alemanha, Austria, Egipto, Hungria, Irã, Itália, Luxemburgo, Polonia
Prostin VR Arábia Saudita, Bélgica, Canadá, Colômbia, Croácia, Dinamarca, Estados Unidos de América, Finlandia, Gran-bretanha, Grècia, Hungria, Irã, Itália, Luxemburgo, Malásia, Noruega, Países Baixos, Polonia, Portugal, Suicia, Venezuela
Prostine VR França
Vasaprostan Romènia
Estabilidade em misturas   injetável   Estabilidade em misturas : Alprostadil     
Embalagem Solvente concentração molécula temperatura conservação Duração da estabilidade Bibliografia
vidro NaCl 0,9% + bacteriostático 12,5 µg/ml
injetável   Alprostadil   
injetável   Papaverine hydrochloride 4,5 mg/ml
injetável   Phentolamine mesylate 0,125 mg/ml
-20°C
180 dia
ao abrigo da luz 1899
Nível de evidência A
vidro NaCl 0,9% + bacteriostático 12,5 µg/ml
injetável   Alprostadil   
injetável   Papaverine hydrochloride 4,5 mg/ml
injetável   Phentolamine mesylate 0,125 mg/ml
4°C
30 dia
ao abrigo da luz 1899
Nível de evidência A
Polipropileno cloreto de sódio 0,9% 15 µg/ml
injetável   Alprostadil   
injetável   Papaverine hydrochloride 15 mg/ml
injetável   Urapidil 2 mg/ml
2-8°C
55 dia
ao abrigo da luz 3448
Nível de evidência B

  Mentions Légales