Ostatnia aktualizacja :
18/03/2026
Lek rozszerzający naczynia   Alprostadil  
Injekcje
Trwałość roztworów Trwałość w mieszaninie Czynnik wpływający na trwałość Zgodność Sposób podania Bibliografia pdf
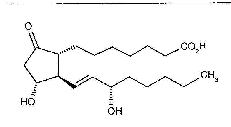
   Struktura chemiczna  

Nazwa handlowa   Nazwa handlowa     

Trade names are indicative and excipients composition can be different depending on the country and manufacturers

Alfaprostin Egipt
Alistint Meksyk, Peru
Alprostadil Arabia Saudyjska, Argentyna, Australia, Chile, Ekwador, Hiszpania, Kanada, Malezja, Niemcy, Peru, Rumunia, Stany Zjednoczone Ameryki, Turcja
Alprostapint Argentyna, Austria, Ekwador, KolumbiaKolumbia, Peru, Węgry
Alprostar Włochy
Aplicav
Cardiobonisol Polska
Caverject Austria, Belgia, Brazylia, Chile, Dania, Francja , Hiszpania, Kanada, KolumbiaKolumbia, Norwegia, Polska, Portugalia, Stany Zjednoczone Ameryki, Szwajcaria, Szwecja, Słowenia, Turcja, Wielka Brytania, Włochy, Zjednoczone Emiraty Arabskie
Edex Francja , Grecja, Stany Zjednoczone Ameryki, Tunisie
Liple Japonia
Minprog Austria, Niemcy
Ostapint Meksyk, Peru
Palux Japonia
Pridax Austria, Hiszpania, Niemcy, Rumunia
Prolisina VR Argentyna
Prostandin Japonia
Prostavasin Austria, Egipt, Iran, Luksemburg, Niemcy, Polska, Węgry, Włochy
Prostin VR Arabia Saudyjska, Belgia, Chorwacja, Dania, Finlandia, Grecja, Holandia, Iran, Kanada, KolumbiaKolumbia, Luksemburg, Malezja, Norwegia, Polska, Portugalia, Stany Zjednoczone Ameryki, Szwajcaria, Węgry, Wenezuela, Wielka Brytania, Włochy
Prostine VR Francja
Vasaprostan Rumunia
Trwałość w mieszaninie   Injekcje   Trwałość w mieszaninie : Alprostadil     
Pojemnik Rozpuszczalnik Stężenie Związek Temperatura Przechowywanie Czas trwania stabilności Bibliografia
Szkło NaCl 0,9% + bakteriostatyk 12,5 µg/ml
Injekcje   Alprostadil   
Injekcje   Papaverine hydrochloride 4,5 mg/ml
Injekcje   Phentolamine mesylate 0,125 mg/ml
-20°C
180 Dzień
Chronić od światła 1899
Poziom wiarygodności A
Szkło NaCl 0,9% + bakteriostatyk 12,5 µg/ml
Injekcje   Alprostadil   
Injekcje   Papaverine hydrochloride 4,5 mg/ml
Injekcje   Phentolamine mesylate 0,125 mg/ml
4°C
30 Dzień
Chronić od światła 1899
Poziom wiarygodności A
Polipropylen Chlorek sodu 0,9% 15 µg/ml
Injekcje   Alprostadil   
Injekcje   Papaverine hydrochloride 15 mg/ml
Injekcje   Urapidil 2 mg/ml
2-8°C
55 Dzień
Chronić od światła 3448
Poziom wiarygodności B

  Mentions Légales