最新更新 :
18/03/2026
扩张血管药   Alprostadil  
注射液
溶液稳定性 混合物稳定性 影响稳定性的因素 兼容性 用药途径 引用文献 PDF
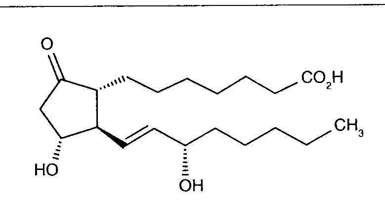
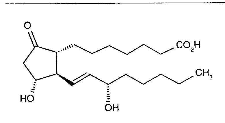
   化学式  

商品名   商品名     

商品名仅供参考, 药品所用的辅料可能依国家或厂商不同有所不同。

Alfaprostin 埃及
Alistint 墨西哥, 秘鲁
Alprostadil 加拿大, 厄瓜多尔, 土耳其, 德国, 智利, 沙特阿拉伯, 澳大利亚, 秘鲁, 罗马尼亚, 美国, 西班牙, 阿根廷, 马来西亚
Alprostapint 匈牙利, 厄瓜多尔, 哥伦比亚, 奥地利, 秘鲁, 阿根廷
Alprostar 意大利
Aplicav
Cardiobonisol 波兰
Caverject 丹麦, 加拿大, 哥伦比亚, 土耳其, 奥地利, 巴西, 意大利, 挪威, 斯洛文尼亚, 智利, 比利时, 法国, 波兰, 瑞典, 瑞士, 美国, 英国, 葡萄牙, 西班牙, 阿联酋
Edex 希腊, 法国, 突尼斯, 美国
Liple 日本
Minprog 奥地利, 德国
Ostapint 墨西哥, 秘鲁
Palux 日本
Pridax 奥地利, 德国, 罗马尼亚, 西班牙
Prolisina VR 阿根廷
Prostandin 日本
Prostavasin 伊朗, 匈牙利, 卢森堡, 埃及, 奥地利, 德国, 意大利, 波兰
Prostin VR 丹麦, 伊朗, 克罗地亚, 加拿大, 匈牙利, 卢森堡, 哥伦比亚, 委内瑞拉, 希腊, 意大利, 挪威, 比利时, 沙特阿拉伯, 波兰, 瑞士, 美国, 芬兰, 英国, 荷兰, 葡萄牙, 马来西亚
Prostine VR 法国
Vasaprostan 罗马尼亚
混合物稳定性   注射液   混合物稳定性 : Alprostadil     
容器 溶剂 浓度 分子 温度 保存 穩定持續時間 引用文献
玻璃 NaCl 0,9%+抗生素 12,5 µg/ml
注射液   Alprostadil   
注射液   Papaverine hydrochloride 4,5 mg/ml
注射液   Phentolamine mesylate 0,125 mg/ml
-20°C
180 白天
避光 1899
A级
玻璃 NaCl 0,9%+抗生素 12,5 µg/ml
注射液   Alprostadil   
注射液   Papaverine hydrochloride 4,5 mg/ml
注射液   Phentolamine mesylate 0,125 mg/ml
4°C
30 白天
避光 1899
A级
聚丙烯 NaCl 0,9% 15 µg/ml
注射液   Alprostadil   
注射液   Papaverine hydrochloride 15 mg/ml
注射液   Urapidil 2 mg/ml
2-8°C
55 白天
避光 3448
B级

  Mentions Légales