Última actualización :
18/03/2026
Vasodilatador   Alprostadil  
Inyectables
Estabilidad en solucion Estabilidad en mezcla Factores que influyen sobre la estabilidad Compatibilidades método de inyección Bibliografía pdf
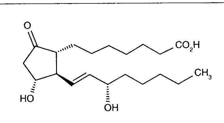
   Estructura química  

Nombre comercial   Nombre comercial     

Los nombres comerciales son orientativos y los excipientes de la formulación pueden ser distintos dependiendo del país y del laboratorio fabricante.

Alfaprostin Egipto
Alistint Marruecos, México
Alprostadil Alemania, Arabia Saudita, Argentina, Australia, Canadá, Chile, Ecuador, España, Estados Unidos de América, Malasia, Marruecos, Rumania, Turquía
Alprostapint Argentina, Austria, Colombia, Ecuador, Hungría, Marruecos
Alprostar Italia
Aplicav
Cardiobonisol Polonia
Caverject Austria, Bélgica, Brasil, Canadá, Chile, Colombia, Dinamarca, Emiratos Árabes Unidos, Eslovenia, España, Estados Unidos de América, Francia, Gran Bretaña, Italia, Noruega, Polonia, Portugal, Suecia, Suiza, Turquía
Edex Estados Unidos de América, Francia, Grecia, Túnez
Liple Japón
Minprog Alemania, Austria
Ostapint Marruecos, México
Palux Japón
Pridax Alemania, Austria, España, Rumania
Prolisina VR Argentina
Prostandin Japón
Prostavasin Alemania, Austria, Egipto, Hungría, Irán, Italia, Luxemburgo, Polonia
Prostin VR Arabia Saudita, Bélgica, Canadá, Colombia, Croacia, Dinamarca, Estados Unidos de América, Finlandia, Gran Bretaña, Grecia, Hungría, Irán, Italia, Luxemburgo, Malasia, Noruega, Países Bajos, Polonia, Portugal, Suiza, Venezuela
Prostine VR Francia
Vasaprostan Rumania
Estabilidad en mezcla   Inyectables   Estabilidad en mezcla : Alprostadil     
Envase Solvente Concentración Molécula Temperatura Conservación Duración de la estabilidad Bibliografía
Vidrio NaCl 0,9% + bacteriostático 12,5 µg/ml
Inyectables   Alprostadil   
Inyectables   Papaverine hydrochloride 4,5 mg/ml
Inyectables   Phentolamine mesylate 0,125 mg/ml
-20°C
180 Día
A cubierto de la luz 1899
Nivel de evidencia A
Vidrio NaCl 0,9% + bacteriostático 12,5 µg/ml
Inyectables   Alprostadil   
Inyectables   Papaverine hydrochloride 4,5 mg/ml
Inyectables   Phentolamine mesylate 0,125 mg/ml
4°C
30 Día
A cubierto de la luz 1899
Nivel de evidencia A
Polipropileno Cloruro de sodio 0,9% 15 µg/ml
Inyectables   Alprostadil   
Inyectables   Papaverine hydrochloride 15 mg/ml
Inyectables   Urapidil 2 mg/ml
2-8°C
55 Día
A cubierto de la luz 3448
Nivel de evidencia B

  Mentions Légales