Seneste opdatering :
18/03/2026
Vasodilator   Alprostadil  
Injektion
Stabilitet i (vandige) opløsninger Stabilitet i blandinger Faktorer der påvirker stabiliteten Kompatibilitet Administrationsvej Bibliografi pdf
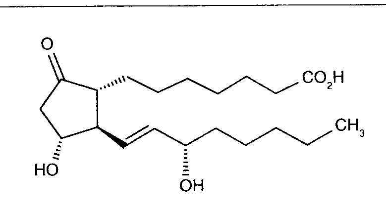
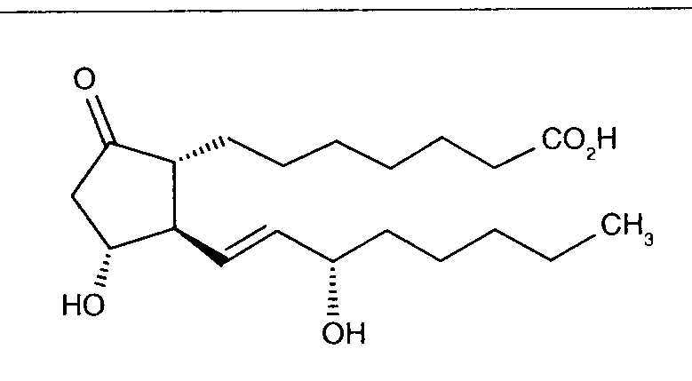
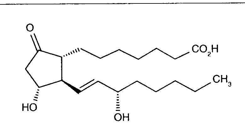
   Kemisk struktur  

Handelsnavn   Handelsnavn     

Handel navne er vejledende og hjælpestoffer sammensætning kan være forskellig afhængigt af landet og laboratorier

Alfaprostin Ægypten
Alistint Marokko, Mexico
Alprostadil Argentina, Australien, Canada, Chile, Ecuador, Malaysia, Marokko, Rumænien, Saudi-Arabien, Spanien, Tyrkiet, Tyskland, USA
Alprostapint Argentina, Colombia, Ecuador, Marokko, Ungarn, Østrig
Alprostar Italien
Aplicav
Cardiobonisol Polen
Caverject Belgien, Brasilien, Canada, Chile, Colombia, Danmark, Forenede Arabiske Emirater, Frankrig, Italien, Norge, Polen, Portugal, Schweiz, Slovenien, Spanien, Storbritanien, Sverige, Tyrkiet, USA, Østrig
Edex Frankrig, Grækenland, Tunesien, USA
Liple Japan
Minprog Tyskland, Østrig
Ostapint Marokko, Mexico
Palux Japan
Pridax Rumænien, Spanien, Tyskland, Østrig
Prolisina VR Argentina
Prostandin Japan
Prostavasin Iran, Italien, Luxemborg, Polen, Tyskland, Ungarn, Ægypten, Østrig
Prostin VR Belgien, Canada, Colombia, Danmark, Finland, Grækenland, Holland, Iran, Italien, Kroatien, Luxemborg, Malaysia, Norge, Polen, Portugal, Saudi-Arabien, Schweiz, Storbritanien, Ungarn, USA, Venezuela
Prostine VR Frankrig
Vasaprostan Rumænien
Stabilitet i blandinger   Injektion   Stabilitet i blandinger : Alprostadil     
Beholder Opløsningsmiddel Koncentration Molekyle Temperatur Konservering Varighed af stabilitet Bibliografi
Glas 0,9 % NaCl + antibakteriel 12,5 µg/ml
Injektion   Alprostadil   
Injektion   Papaverine hydrochloride 4,5 mg/ml
Injektion   Phentolamine mesylate 0,125 mg/ml
-20°C
180 Dag
Beskyt mod lys 1899
Level af bevismateriale A
Glas 0,9 % NaCl + antibakteriel 12,5 µg/ml
Injektion   Alprostadil   
Injektion   Papaverine hydrochloride 4,5 mg/ml
Injektion   Phentolamine mesylate 0,125 mg/ml
4°C
30 Dag
Beskyt mod lys 1899
Level af bevismateriale A
Polypropylen 0,9 % Natriumklorid 15 µg/ml
Injektion   Alprostadil   
Injektion   Papaverine hydrochloride 15 mg/ml
Injektion   Urapidil 2 mg/ml
2-8°C
55 Dag
Beskyt mod lys 3448
Level af bevismateriale B

  Mentions Légales