Dernière mise à jour :
17/12/2025
Antiépileptique   Fosphenytoin sodium  
injectable
Stabilité des solutions Stabilité en mélange Facteur influençant la stabilité Compatibilités Voie d’administration Bibliographie pdf
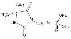
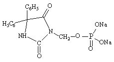
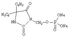
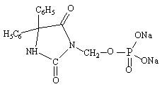
   Structure chimique  

Noms commerciaux   Noms commerciaux     

Les noms commerciaux sont donnés à titre indicatif et la composition en excipients peut être différente selon les pays et selon les laboratoires

Cerebryx Canada, Etats Unis d’Amérique
Fosphen Inde
Fostoin Japon
Pro - Epanutin Autriche, Danemark, Finlande, Grande Bretagne, Irlande, Islande, Luxembourg, Norvège, Pays bas, Suède
Prodilantin Autriche, Danemark, Etats Unis d’Amérique, Finlande, France, Grèce, Hongrie, Irlande, Islande, Japon, Pays bas, Pologne
Sesquient Etats Unis d’Amérique
Stabilité des solutions   injectable   Stabilité des solutions : Fosphenytoin sodium     
Contenant Solvant Concentration Température Conservation Durée de stabilité Bibliographie
Verre Chlorure de sodium 0,9% 1 & 8 & 20 mg/ml 25°C Non précisée
30 Jour
800
Niveau de preuve A

Verre Chlorure de sodium 0,9% 1 & 8 & 20 mg/ml 4°C A l’abri de la lumière
30 Jour
800
Niveau de preuve A

Verre Glucose 5% 1 & 8 & 20 mg/ml 25°C Non précisée
30 Jour
800
Niveau de preuve A

Verre Glucose 5% 1 & 8 & 20 mg/ml 4°C A l’abri de la lumière
30 Jour
800
Niveau de preuve A

Polyvinyl chlorure Chlorure de sodium 0,9% 1 & 8 & 20 mg/ml -20°C A l’abri de la lumière
30 Jour
800
Niveau de preuve A

Polyvinyl chlorure Chlorure de sodium 0,9% 1 & 8 & 20 mg/ml 25°C Non précisée
30 Jour
800
Niveau de preuve A

Polyvinyl chlorure Chlorure de sodium 0,9% 1 & 8 & 20 mg/ml 4°C A l’abri de la lumière
30 Jour
800
Niveau de preuve A

Polyvinyl chlorure Glucose 5% 1 & 8 & 20 mg/ml -20°C A l’abri de la lumière
30 Jour
800
Niveau de preuve A

Polyvinyl chlorure Glucose 5% 1 & 8 & 20 mg/ml 25°C Non précisée
30 Jour
800
Niveau de preuve A

Polyvinyl chlorure Glucose 5% 1 & 8 & 20 mg/ml 4°C A l’abri de la lumière
30 Jour
800
Niveau de preuve A

Seringue polypropylène Aucun 50 mg/ml -20°C Lumière
30 Jour
800
Niveau de preuve A

Seringue polypropylène Aucun 50 mg/ml 25°C Non précisée
30 Jour
800
Niveau de preuve A

Seringue polypropylène Aucun 50 mg/ml 4°C A l’abri de la lumière
30 Jour
800
Niveau de preuve A


  Mentions Légales