最新更新 :
18/03/2026
抗てんかん薬   Fosphenytoin sodium  
注射薬
溶媒内の安定性 混合時の安定性 安定性に影響する因子 互換性 投与経路 引用文献 PDF
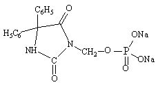
   化学構造  

商品名   商品名     

商品名、賦形剤は国、製薬会社ごとに異なることがあります

Cerebryx アメリカ, カナダ
Fosphen インド
Fostoin 日本
Pro - Epanutin アイスランド, アイルランド, イギリス, オランダ, オーストリア, スウェーデン, デンマーク, ノルウェー, フィンランド, ルクセンブルグ
Prodilantin アイスランド, アイルランド, アメリカ, オランダ, オーストリア, ギリシア, デンマーク, ハンガリー, フィンランド, フランス, ポーランド, 日本
Sesquient アメリカ
溶媒内の安定性   注射薬   溶媒内の安定性 : Fosphenytoin sodium     
容器 溶媒 濃度 温度 保管 安定期間 引用文献
ガラス NaCl 0,9% 1 & 8 & 20 mg/ml 25°C 特記なし
30 日
800
エビデンスレベル A

ガラス NaCl 0,9% 1 & 8 & 20 mg/ml 4°C 遮光
30 日
800
エビデンスレベル A

ガラス グルコース5% 1 & 8 & 20 mg/ml 25°C 特記なし
30 日
800
エビデンスレベル A

ガラス グルコース5% 1 & 8 & 20 mg/ml 4°C 遮光
30 日
800
エビデンスレベル A

ポリ塩化ビニル(PVC) NaCl 0,9% 1 & 8 & 20 mg/ml -20°C 遮光
30 日
800
エビデンスレベル A

ポリ塩化ビニル(PVC) NaCl 0,9% 1 & 8 & 20 mg/ml 25°C 特記なし
30 日
800
エビデンスレベル A

ポリ塩化ビニル(PVC) NaCl 0,9% 1 & 8 & 20 mg/ml 4°C 遮光
30 日
800
エビデンスレベル A

ポリ塩化ビニル(PVC) グルコース5% 1 & 8 & 20 mg/ml -20°C 遮光
30 日
800
エビデンスレベル A

ポリ塩化ビニル(PVC) グルコース5% 1 & 8 & 20 mg/ml 25°C 特記なし
30 日
800
エビデンスレベル A

ポリ塩化ビニル(PVC) グルコース5% 1 & 8 & 20 mg/ml 4°C 遮光
30 日
800
エビデンスレベル A

シリンジ ポリプロピレン なし 50 mg/ml -20°C 光
30 日
800
エビデンスレベル A

シリンジ ポリプロピレン なし 50 mg/ml 25°C 特記なし
30 日
800
エビデンスレベル A

シリンジ ポリプロピレン なし 50 mg/ml 4°C 遮光
30 日
800
エビデンスレベル A


  Mentions Légales