Siste oppdatering :
18/03/2026
Antiepileptika   Fosphenytoin sodium  
Injeksjon
Oppløsningsstabilitet Stabilitet i blandinger Faktorer som påvirker stabiliteten Kompatibilitet Administrasjonsmåte Referanser pdf
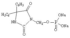
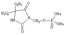
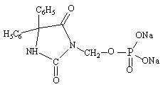
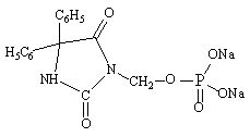
   Kjemisk struktur  

Handelsnavn   Handelsnavn     

Handelsnavn er veiledende og sammensetning av hjelpestoffer kan være forskjellig avhengig av land og produsent

Cerebryx Canada, USA
Fosphen India
Fostoin Japan
Pro - Epanutin Danmark, Finland, Irland, Island, Luxembourg, Nederland, Norge, Storbritannia, Sverige, Østerrike
Prodilantin Danmark, Finland, Frankrike, Hellas, Irland, Island, Japan, Nederland, Polen, Ungarn, USA, Østerrike
Sesquient USA
Oppløsningsstabilitet   Injeksjon   Oppløsningsstabilitet : Fosphenytoin sodium     
Beholder Oppløsningsmiddel Konsentrasjon Temperatur Oppbevaring Varighet av stabilitet Referanser
Glass Natriumklorid 0,9 % 1 & 8 & 20 mg/ml 25°C Ikke angitt
30 Dag
800
Bevisgrad A

Glass Natriumklorid 0,9 % 1 & 8 & 20 mg/ml 4°C Beskyttes mot lys
30 Dag
800
Bevisgrad A

Glass Glukose 5 % 1 & 8 & 20 mg/ml 25°C Ikke angitt
30 Dag
800
Bevisgrad A

Glass Glukose 5 % 1 & 8 & 20 mg/ml 4°C Beskyttes mot lys
30 Dag
800
Bevisgrad A

Polyvinylklorid Natriumklorid 0,9 % 1 & 8 & 20 mg/ml -20°C Beskyttes mot lys
30 Dag
800
Bevisgrad A

Polyvinylklorid Natriumklorid 0,9 % 1 & 8 & 20 mg/ml 25°C Ikke angitt
30 Dag
800
Bevisgrad A

Polyvinylklorid Natriumklorid 0,9 % 1 & 8 & 20 mg/ml 4°C Beskyttes mot lys
30 Dag
800
Bevisgrad A

Polyvinylklorid Glukose 5 % 1 & 8 & 20 mg/ml -20°C Beskyttes mot lys
30 Dag
800
Bevisgrad A

Polyvinylklorid Glukose 5 % 1 & 8 & 20 mg/ml 25°C Ikke angitt
30 Dag
800
Bevisgrad A

Polyvinylklorid Glukose 5 % 1 & 8 & 20 mg/ml 4°C Beskyttes mot lys
30 Dag
800
Bevisgrad A

Sprøyte polypropylen Ingen 50 mg/ml -20°C Lys
30 Dag
800
Bevisgrad A

Sprøyte polypropylen Ingen 50 mg/ml 25°C Ikke angitt
30 Dag
800
Bevisgrad A

Sprøyte polypropylen Ingen 50 mg/ml 4°C Beskyttes mot lys
30 Dag
800
Bevisgrad A


  Mentions Légales