最新更新 :
18/03/2026
抗癫痫药   Fosphenytoin sodium  
注射液
溶液稳定性 混合物稳定性 影响稳定性的因素 兼容性 用药途径 引用文献 PDF
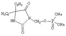
   化学式  

商品名   商品名     

商品名仅供参考, 药品所用的辅料可能依国家或厂商不同有所不同。

Cerebryx 加拿大, 美国
Fosphen 印度
Fostoin 日本
Pro - Epanutin 丹麦, 冰岛, 卢森堡, 奥地利, 挪威, 爱尔兰, 瑞典, 芬兰, 英国, 荷兰
Prodilantin 丹麦, 冰岛, 匈牙利, 奥地利, 希腊, 日本, 法国, 波兰, 爱尔兰, 美国, 芬兰, 荷兰
Sesquient 美国
溶液稳定性   注射液   溶液稳定性 : Fosphenytoin sodium     
容器 溶剂 浓度 温度 保存 穩定持續時間 引用文献
玻璃 NaCl 0,9% 1 & 8 & 20 mg/ml 25°C 无特殊要求
30 白天
800
A级

玻璃 NaCl 0,9% 1 & 8 & 20 mg/ml 4°C 避光
30 白天
800
A级

玻璃 葡萄糖5% 1 & 8 & 20 mg/ml 25°C 无特殊要求
30 白天
800
A级

玻璃 葡萄糖5% 1 & 8 & 20 mg/ml 4°C 避光
30 白天
800
A级

聚氯乙烯 NaCl 0,9% 1 & 8 & 20 mg/ml -20°C 避光
30 白天
800
A级

聚氯乙烯 NaCl 0,9% 1 & 8 & 20 mg/ml 25°C 无特殊要求
30 白天
800
A级

聚氯乙烯 NaCl 0,9% 1 & 8 & 20 mg/ml 4°C 避光
30 白天
800
A级

聚氯乙烯 葡萄糖5% 1 & 8 & 20 mg/ml -20°C 避光
30 白天
800
A级

聚氯乙烯 葡萄糖5% 1 & 8 & 20 mg/ml 25°C 无特殊要求
30 白天
800
A级

聚氯乙烯 葡萄糖5% 1 & 8 & 20 mg/ml 4°C 避光
30 白天
800
A级

注射器  聚丙烯 无 50 mg/ml -20°C 光
30 白天
800
A级

注射器  聚丙烯 无 50 mg/ml 25°C 无特殊要求
30 白天
800
A级

注射器  聚丙烯 无 50 mg/ml 4°C 避光
30 白天
800
A级


  Mentions Légales