Poslední aktualizace :
18/03/2026
Antiepileptikum   Fosphenytoin sodium  
injekce
Stabilita roztoků Stabilita směsí Faktory ovlivňující stabilitu Kompatibilita Způsoby aplikace Odkazy pdf
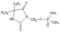
   Chemický vzorec  

Obchodní název   Obchodní název     

Trade names are indicative and excipients composition can be different depending on the country and manufacturers

Cerebryx Kanada, USA
Fosphen Indie
Fostoin Japonsko
Pro - Epanutin Dánsko, Finsko, Irsko, Island, Lucembursko, Nizozemsko, Norsko, Rakousko, Švédsko, Velká Británie
Prodilantin Dánsko, Finsko, Francie, Irsko, Island, Japonsko, MaÔarsko, Nizozemsko, Polsko, Rakousko, USA, ÿecko
Sesquient USA
Stabilita roztoků   injekce   Stabilita roztoků : Fosphenytoin sodium     
Obal RozpouötÏdlo Koncentrace Teplota Uchovávání Trvání stability Odkazy
Sklo Chlorid sodný 0,9% 1 & 8 & 20 mg/ml 25°C Nespecifikováno
30 Den
800
Úroveň zkoušky A

Sklo Chlorid sodný 0,9% 1 & 8 & 20 mg/ml 4°C Chráněno před světlem
30 Den
800
Úroveň zkoušky A

Sklo GlukÛza 5% 1 & 8 & 20 mg/ml 25°C Nespecifikováno
30 Den
800
Úroveň zkoušky A

Sklo GlukÛza 5% 1 & 8 & 20 mg/ml 4°C Chráněno před světlem
30 Den
800
Úroveň zkoušky A

Polyvinyl chlorid Chlorid sodný 0,9% 1 & 8 & 20 mg/ml -20°C Chráněno před světlem
30 Den
800
Úroveň zkoušky A

Polyvinyl chlorid Chlorid sodný 0,9% 1 & 8 & 20 mg/ml 25°C Nespecifikováno
30 Den
800
Úroveň zkoušky A

Polyvinyl chlorid Chlorid sodný 0,9% 1 & 8 & 20 mg/ml 4°C Chráněno před světlem
30 Den
800
Úroveň zkoušky A

Polyvinyl chlorid GlukÛza 5% 1 & 8 & 20 mg/ml -20°C Chráněno před světlem
30 Den
800
Úroveň zkoušky A

Polyvinyl chlorid GlukÛza 5% 1 & 8 & 20 mg/ml 25°C Nespecifikováno
30 Den
800
Úroveň zkoušky A

Polyvinyl chlorid GlukÛza 5% 1 & 8 & 20 mg/ml 4°C Chráněno před světlem
30 Den
800
Úroveň zkoušky A

stříkačka polypropylen Žádné 50 mg/ml -20°C SvÏtlo
30 Den
800
Úroveň zkoušky A

stříkačka polypropylen Žádné 50 mg/ml 25°C Nespecifikováno
30 Den
800
Úroveň zkoušky A

stříkačka polypropylen Žádné 50 mg/ml 4°C Chráněno před světlem
30 Den
800
Úroveň zkoušky A


  Mentions Légales