zadnja posodobitev :
18/03/2026
Antiepileptik   Fosphenytoin sodium  
Brizgalka
Stabilnost raztopine Stabilnost mešanice Faktorji, ki vplivajo na stabilnost Kompatibilnost način aplikacije Viri pdf
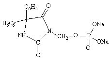
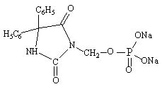
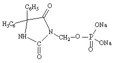
   Kemična formula  

Lastniško ime   Lastniško ime     

Sestava pomožnih snovi je med paralelami lahko različna

Cerebryx Kanada, Združene države Amerike
Fosphen Indija
Fostoin Japonska
Pro - Epanutin Avstrija, Danska, Finska, Irska, Islandija, Luksemburg, Nizozemska, Norveška, Švedska, Velika Britanija
Prodilantin Avstrija, Danska, Finska, Francija, Grčija, Irska, Islandija, Japonska, Madžarska, Nizozemska, Poljska, Združene države Amerike
Sesquient Združene države Amerike
Stabilnost raztopine   Brizgalka   Stabilnost raztopine : Fosphenytoin sodium     
Vsebnik Topilo Koncentracija Temperatura Shranjevanje Trajanje stabilnosti Viri
Steklo Natrijev klorid 0,9% 1 & 8 & 20 mg/ml 25°C Nedoločeno
30 Dan
800
 Stopnja dokaza A

Steklo Natrijev klorid 0,9% 1 & 8 & 20 mg/ml 4°C Zaščiteno pred svetlobo
30 Dan
800
 Stopnja dokaza A

Steklo Glukoza 5% 1 & 8 & 20 mg/ml 25°C Nedoločeno
30 Dan
800
 Stopnja dokaza A

Steklo Glukoza 5% 1 & 8 & 20 mg/ml 4°C Zaščiteno pred svetlobo
30 Dan
800
 Stopnja dokaza A

Polivinil klorid Natrijev klorid 0,9% 1 & 8 & 20 mg/ml -20°C Zaščiteno pred svetlobo
30 Dan
800
 Stopnja dokaza A

Polivinil klorid Natrijev klorid 0,9% 1 & 8 & 20 mg/ml 25°C Nedoločeno
30 Dan
800
 Stopnja dokaza A

Polivinil klorid Natrijev klorid 0,9% 1 & 8 & 20 mg/ml 4°C Zaščiteno pred svetlobo
30 Dan
800
 Stopnja dokaza A

Polivinil klorid Glukoza 5% 1 & 8 & 20 mg/ml -20°C Zaščiteno pred svetlobo
30 Dan
800
 Stopnja dokaza A

Polivinil klorid Glukoza 5% 1 & 8 & 20 mg/ml 25°C Nedoločeno
30 Dan
800
 Stopnja dokaza A

Polivinil klorid Glukoza 5% 1 & 8 & 20 mg/ml 4°C Zaščiteno pred svetlobo
30 Dan
800
 Stopnja dokaza A

Brizgalka polipropilen Nobeden 50 mg/ml -20°C Svetloba
30 Dan
800
 Stopnja dokaza A

Brizgalka polipropilen Nobeden 50 mg/ml 25°C Nedoločeno
30 Dan
800
 Stopnja dokaza A

Brizgalka polipropilen Nobeden 50 mg/ml 4°C Zaščiteno pred svetlobo
30 Dan
800
 Stopnja dokaza A


  Mentions Légales