|
|
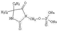
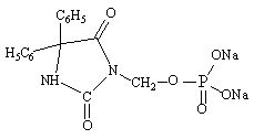
Nome commerciale |
|
|
Trade names are indicative and excipients composition can be different depending on the country and manufacturers
|
|
Cerebryx |
Canada, Stati Uniti d’America |
|
Fosphen |
India |
|
Fostoin |
Giappone |
|
Pro - Epanutin |
Austria, Danimarca, Finlandia, Gran Bretagna, Irlanda, Islanda, Lussemburgo, Norvegia, Paesi Bassi, Svezia |
|
Prodilantin |
Austria, Danimarca, Finlandia, Francia, Giappone, Grecia, Irlanda, Islanda, Paesi Bassi, Polonia, Stati Uniti d’America, Ungheria |
|
Sesquient |
Stati Uniti d’America |
|
|