Viimeisin päivitys :
18/03/2026
Epilepsialääkkeet   Fosphenytoin sodium  
Injektioneste
Stabilius liuoksessa Stabilius seoksissa Tekijät, jotka vaikuttavat stabiliuteen Yhteensopivuus Antotapa Viitteet pdf
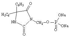
   Kemiallinen rakenne  

Kauppanimi   Kauppanimi     

Trade names are indicative and excipients composition can be different depending on the country and manufacturers

Cerebryx Kanada, Yhdysvallat
Fosphen Intia
Fostoin Japani
Pro - Epanutin Hollanti, Irlanti, Islanti, Iso-Britannia, Itävalta, Luxemburg, Norja, Ruotsi, Suomi, Tanska
Prodilantin Hollanti, Irlanti, Islanti, Itävalta, Japani, Kreikka, Puola, Ranska, Suomi, Tanska, Unkari, Yhdysvallat
Sesquient Yhdysvallat
Stabilius liuoksessa   Injektioneste   Stabilius liuoksessa : Fosphenytoin sodium     
Astia Liuotin Konsentraatio Lämpötila Säilytys Vakauden kesto Viitteet
Lasi Natriumkloridi 0,9% 1 & 8 & 20 mg/ml 25°C Ei määritetty
30 Päivä
800
Näytön laajuus A

Lasi Natriumkloridi 0,9% 1 & 8 & 20 mg/ml 4°C Suojattava valolta
30 Päivä
800
Näytön laajuus A

Lasi Glukoosi 5% 1 & 8 & 20 mg/ml 25°C Ei määritetty
30 Päivä
800
Näytön laajuus A

Lasi Glukoosi 5% 1 & 8 & 20 mg/ml 4°C Suojattava valolta
30 Päivä
800
Näytön laajuus A

Polyvinyylikloridi Natriumkloridi 0,9% 1 & 8 & 20 mg/ml -20°C Suojattava valolta
30 Päivä
800
Näytön laajuus A

Polyvinyylikloridi Natriumkloridi 0,9% 1 & 8 & 20 mg/ml 25°C Ei määritetty
30 Päivä
800
Näytön laajuus A

Polyvinyylikloridi Natriumkloridi 0,9% 1 & 8 & 20 mg/ml 4°C Suojattava valolta
30 Päivä
800
Näytön laajuus A

Polyvinyylikloridi Glukoosi 5% 1 & 8 & 20 mg/ml -20°C Suojattava valolta
30 Päivä
800
Näytön laajuus A

Polyvinyylikloridi Glukoosi 5% 1 & 8 & 20 mg/ml 25°C Ei määritetty
30 Päivä
800
Näytön laajuus A

Polyvinyylikloridi Glukoosi 5% 1 & 8 & 20 mg/ml 4°C Suojattava valolta
30 Päivä
800
Näytön laajuus A

Ruisku  polypropeeni Ei mikään 50 mg/ml -20°C Valo
30 Päivä
800
Näytön laajuus A

Ruisku  polypropeeni Ei mikään 50 mg/ml 25°C Ei määritetty
30 Päivä
800
Näytön laajuus A

Ruisku  polypropeeni Ei mikään 50 mg/ml 4°C Suojattava valolta
30 Päivä
800
Näytön laajuus A


  Mentions Légales