|
|
Merknamen in verschillende landen |
|
|
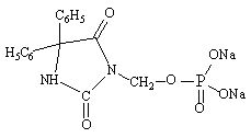
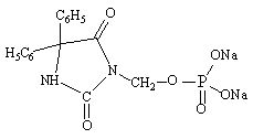
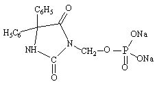
Handelsnamen zijn slechts een indicatie; de samenstelling van hulpstoffen kan per land variëren afhankelijk van de fabrikant
|
|
Cerebryx |
Canada, USA |
|
Fosphen |
Indië |
|
Fostoin |
Japan |
|
Pro - Epanutin |
Denemarken, Finland, Groot Britannië, Ierland, IJsland, Luxemburg, Nederland, Noorwegen, Oostenrijk, Zweden |
|
Prodilantin |
Denemarken, Finland, Frankrijk, Griekenland, Hongarije, Ierland, IJsland, Japan, Nederland, Oostenrijk, Polen, USA |
|
Sesquient |
USA |
|
|