Cập nhật lần cuối :
18/03/2026
Thuốc chống động kinh   Fosphenytoin sodium  
Dạng tiêm
Tính ổn định của các dung dịch Độ ổn định khi trộn lẫn Những yếu tố ảnh hưởng đến độ ổn định Khả năng tương thích Đường dùng Tài liệu tham khảo Pdf
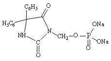
   Cấu trúc hóa học  

Tên thương mại   Tên thương mại     

Các tên thương mại được cung cấp và thành phần tá dược có thể khác nhau giữa các quốc gia và các hãng dược

Cerebryx Canada, Hoa Kỳ
Fosphen Ấn Độ
Fostoin Nhật
Pro - Epanutin Anh, Áo, Hà Lan, Iceland, Ireland, Luxembourg, Na Uy, Phần Lan, Thụy Điển, Đan Mạch
Prodilantin Áo, Ba Lan, Hà Lan, Hoa Kỳ, Hungary, Hy Lạp, Iceland, Ireland, Nhật, Phần Lan, Pháp, Đan Mạch
Sesquient Hoa Kỳ
Tính ổn định của các dung dịch   Dạng tiêm   Tính ổn định của các dung dịch : Fosphenytoin sodium     
Bao bì Dung môi Nồng độ Nhiệt độ Bảo quản Thời gian ổn định Mục lục
Thủy tinh NaCl 0,9% 1 & 8 & 20 mg/ml 25°C Không rõ
30 Ngày
800
Cấp độ bằng chứng A

Thủy tinh NaCl 0,9% 1 & 8 & 20 mg/ml 4°C Tránh ánh sáng
30 Ngày
800
Cấp độ bằng chứng A

Thủy tinh Glucose 5% 1 & 8 & 20 mg/ml 25°C Không rõ
30 Ngày
800
Cấp độ bằng chứng A

Thủy tinh Glucose 5% 1 & 8 & 20 mg/ml 4°C Tránh ánh sáng
30 Ngày
800
Cấp độ bằng chứng A

Nhựa polyvinyl chloride NaCl 0,9% 1 & 8 & 20 mg/ml -20°C Tránh ánh sáng
30 Ngày
800
Cấp độ bằng chứng A

Nhựa polyvinyl chloride NaCl 0,9% 1 & 8 & 20 mg/ml 25°C Không rõ
30 Ngày
800
Cấp độ bằng chứng A

Nhựa polyvinyl chloride NaCl 0,9% 1 & 8 & 20 mg/ml 4°C Tránh ánh sáng
30 Ngày
800
Cấp độ bằng chứng A

Nhựa polyvinyl chloride Glucose 5% 1 & 8 & 20 mg/ml -20°C Tránh ánh sáng
30 Ngày
800
Cấp độ bằng chứng A

Nhựa polyvinyl chloride Glucose 5% 1 & 8 & 20 mg/ml 25°C Không rõ
30 Ngày
800
Cấp độ bằng chứng A

Nhựa polyvinyl chloride Glucose 5% 1 & 8 & 20 mg/ml 4°C Tránh ánh sáng
30 Ngày
800
Cấp độ bằng chứng A

ống tiêm polypropylene Không 50 mg/ml -20°C Ánh sáng
30 Ngày
800
Cấp độ bằng chứng A

ống tiêm polypropylene Không 50 mg/ml 25°C Không rõ
30 Ngày
800
Cấp độ bằng chứng A

ống tiêm polypropylene Không 50 mg/ml 4°C Tránh ánh sáng
30 Ngày
800
Cấp độ bằng chứng A


  Mentions Légales