Senaste uppdateringen :
18/03/2026
Antiepileptikum   Fosphenytoin sodium  
injektion
Lösningars stabilitet Stabilitet i blandningar Faktorer som påverkar stabiliteten Kompatibilitet Administreringssätt Hänvisningar pdf
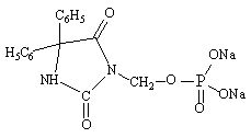
   Molekylstruktur  

Varunamn   Varunamn     

Angivna handelsnamn på läkemedel är enbart vägledande då formulering inklusive hjälpämnen kan variera mellan länder och tillverkare

Cerebryx Förenta Staterna, Kanada
Fosphen Indien
Fostoin Japan
Pro - Epanutin Danmark, Finland, Irland, Island, Luxemburg, Nederländerna, Norge, Österrike, Storbritannien, Sverige
Prodilantin Danmark, Finland, Förenta Staterna, Frankrike, Grekland, Irland, Island, Japan, Nederländerna, Österrike, Polen, Ungern
Sesquient Förenta Staterna
Lösningars stabilitet   injektion   Lösningars stabilitet : Fosphenytoin sodium     
Behållare Lösningsmedel Koncentration Temperatur Förvaring Stabilitets varaktighet Hänvisningar
Glas Natriumklorid 0,9 % 1 & 8 & 20 mg/ml 25°C Ej angiven
30 Dag
800
Evidensnivå A

Glas Natriumklorid 0,9 % 1 & 8 & 20 mg/ml 4°C Skyddas från ljus
30 Dag
800
Evidensnivå A

Glas Glukos 5 % 1 & 8 & 20 mg/ml 25°C Ej angiven
30 Dag
800
Evidensnivå A

Glas Glukos 5 % 1 & 8 & 20 mg/ml 4°C Skyddas från ljus
30 Dag
800
Evidensnivå A

Polyvinylklorid Natriumklorid 0,9 % 1 & 8 & 20 mg/ml -20°C Skyddas från ljus
30 Dag
800
Evidensnivå A

Polyvinylklorid Natriumklorid 0,9 % 1 & 8 & 20 mg/ml 25°C Ej angiven
30 Dag
800
Evidensnivå A

Polyvinylklorid Natriumklorid 0,9 % 1 & 8 & 20 mg/ml 4°C Skyddas från ljus
30 Dag
800
Evidensnivå A

Polyvinylklorid Glukos 5 % 1 & 8 & 20 mg/ml -20°C Skyddas från ljus
30 Dag
800
Evidensnivå A

Polyvinylklorid Glukos 5 % 1 & 8 & 20 mg/ml 25°C Ej angiven
30 Dag
800
Evidensnivå A

Polyvinylklorid Glukos 5 % 1 & 8 & 20 mg/ml 4°C Skyddas från ljus
30 Dag
800
Evidensnivå A

Spruta polypropen Ingen 50 mg/ml -20°C Ljus
30 Dag
800
Evidensnivå A

Spruta polypropen Ingen 50 mg/ml 25°C Ej angiven
30 Dag
800
Evidensnivå A

Spruta polypropen Ingen 50 mg/ml 4°C Skyddas från ljus
30 Dag
800
Evidensnivå A


  Mentions Légales