Zadnji put ažurirano :
18/03/2026
antiepileptik   Fosphenytoin sodium  
injekcija
Stabilizacija rješenja Stabilnost mješavine Stabilizacijski faktor Kompatibilnosti način davanja lijeka Bibliografija pdf
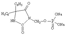
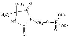
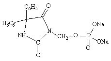
   Kemijska struktura  

Nekomercijalni   Nekomercijalni     

Zaštićeni nazivi su indikativni i sastav ekscipijensa može biti različit ovisno o državi i laboratorijima

Cerebryx Kanada, S A D
Fosphen Indija
Fostoin Japan
Pro - Epanutin Austrija, Danska, Finska, Irska, Island, Luksemburg, Nizozemska, Norveška, Švedska, Velika Britanija
Prodilantin Austrija, Danska, Finska, Francuska, Grčka, Irska, Island, Japan, Madžarska, Nizozemska, Poljska, S A D
Sesquient S A D
Stabilizacija rješenja   injekcija   Stabilizacija rješenja : Fosphenytoin sodium     
Kontejner sredstvo za rastapanje koncentracija temperatura Konzerviranje Trajanje stabilnosti Bibliografija
čaša natrijumkorid 0,9% 1 & 8 & 20 mg/ml 25°C nespecifičan
30 dan
800
Razina dokaza A

čaša natrijumkorid 0,9% 1 & 8 & 20 mg/ml 4°C Zaštićeno od svjetlosti
30 dan
800
Razina dokaza A

čaša glukoza 5% 1 & 8 & 20 mg/ml 25°C nespecifičan
30 dan
800
Razina dokaza A

čaša glukoza 5% 1 & 8 & 20 mg/ml 4°C Zaštićeno od svjetlosti
30 dan
800
Razina dokaza A

polivinilklorid natrijumkorid 0,9% 1 & 8 & 20 mg/ml -20°C Zaštićeno od svjetlosti
30 dan
800
Razina dokaza A

polivinilklorid natrijumkorid 0,9% 1 & 8 & 20 mg/ml 25°C nespecifičan
30 dan
800
Razina dokaza A

polivinilklorid natrijumkorid 0,9% 1 & 8 & 20 mg/ml 4°C Zaštićeno od svjetlosti
30 dan
800
Razina dokaza A

polivinilklorid glukoza 5% 1 & 8 & 20 mg/ml -20°C Zaštićeno od svjetlosti
30 dan
800
Razina dokaza A

polivinilklorid glukoza 5% 1 & 8 & 20 mg/ml 25°C nespecifičan
30 dan
800
Razina dokaza A

polivinilklorid glukoza 5% 1 & 8 & 20 mg/ml 4°C Zaštićeno od svjetlosti
30 dan
800
Razina dokaza A

špric polipropilen nijedan 50 mg/ml -20°C svjetlost
30 dan
800
Razina dokaza A

špric polipropilen nijedan 50 mg/ml 25°C nespecifičan
30 dan
800
Razina dokaza A

špric polipropilen nijedan 50 mg/ml 4°C Zaštićeno od svjetlosti
30 dan
800
Razina dokaza A


  Mentions Légales