Cập nhật lần cuối :
27/11/2025
Thuốc chống nấm   Amphotericin B liposomale  
Dạng tiêm
Thuốc nhỏ mắt
Tính ổn định của các dung dịch Độ ổn định khi trộn lẫn Những yếu tố ảnh hưởng đến độ ổn định Khả năng tương thích Đường dùng Tài liệu tham khảo Pdf
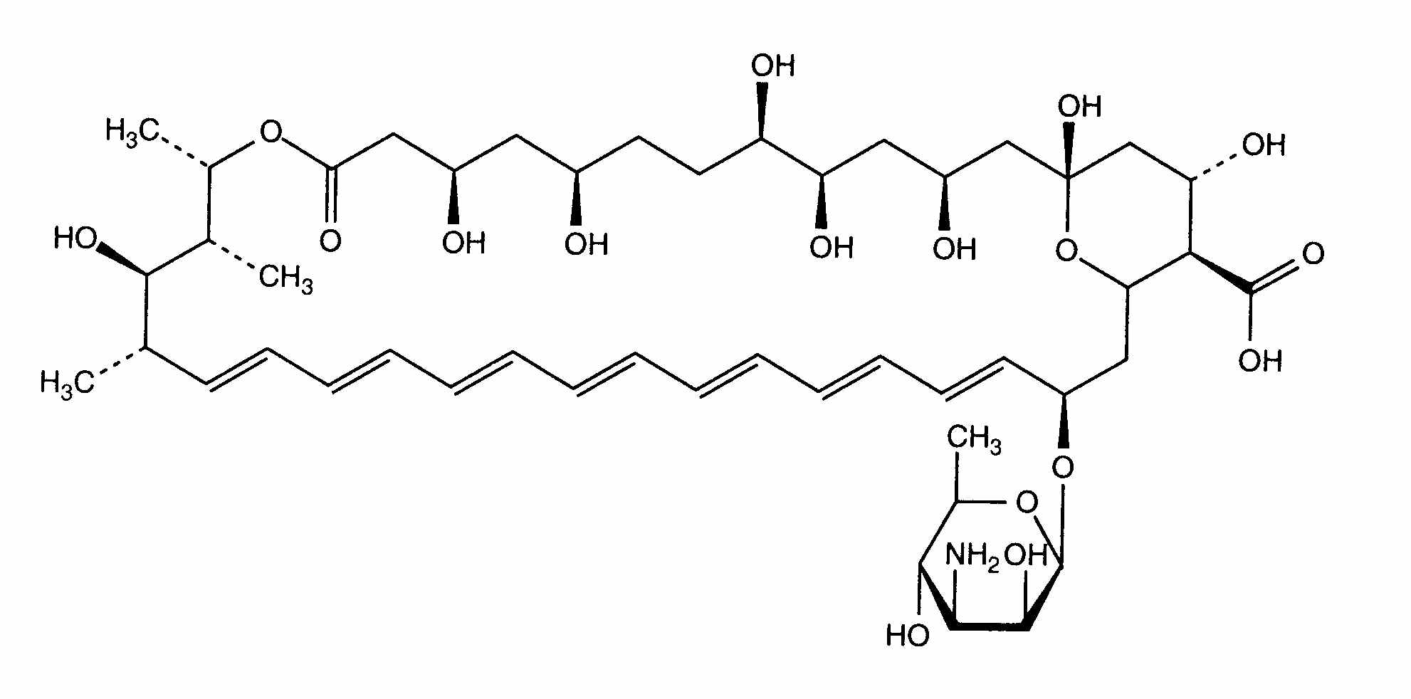
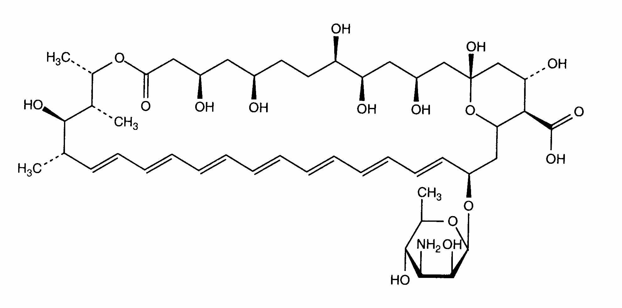
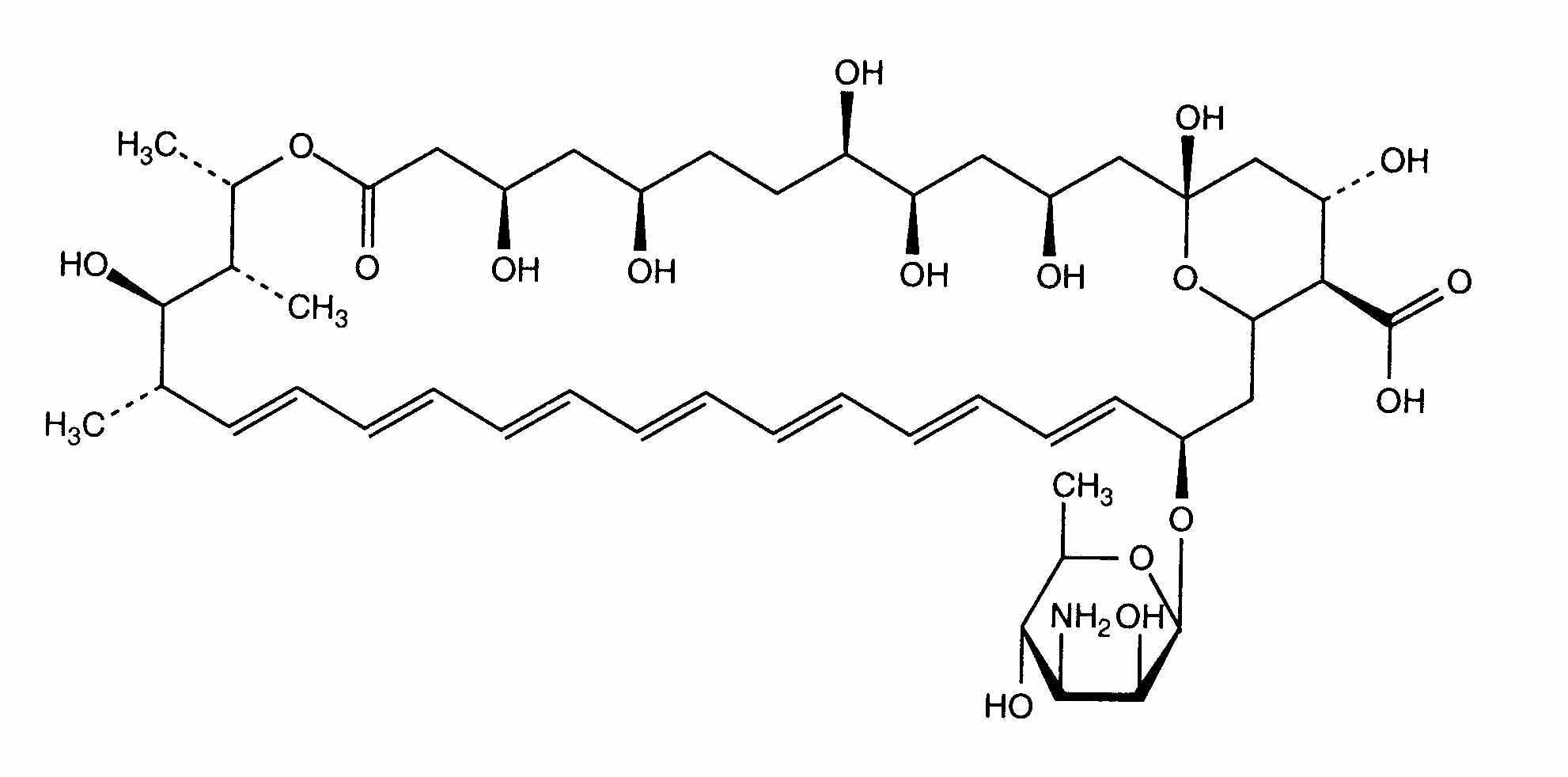
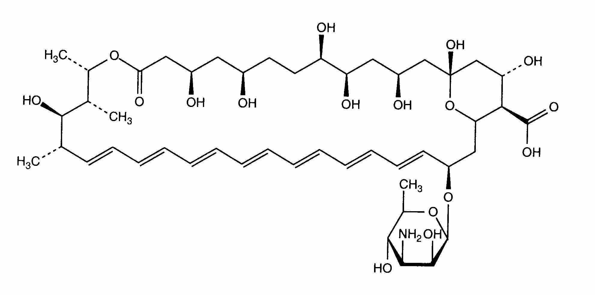
Liposome   Cấu trúc hóa học  

Tên thương mại   Tên thương mại     

Các tên thương mại được cung cấp và thành phần tá dược có thể khác nhau giữa các quốc gia và các hãng dược

Ambisome Ả Rập, Ả Rập Saudi, Ấn Độ, Anh, Áo, Argentina, Ba Lan, Bỉ, Bồ Đào Nha, Brazil, Canada, Chile, Hà Lan, Hoa Kỳ, Hungary, Hy Lạp, Iceland, Ireland, Luxembourg, Na Uy, new zealand, Nhật, Peru, Phần Lan, Pháp, Tây Ban Nha, Thái Lan, Thổ Nhĩ Kỳ, Thụy Sỹ, Thụy Điển, United Arab Emirates, Ý, Đan Mạch, Đức
Tính ổn định của các dung dịch   Dạng tiêm   Tính ổn định của các dung dịch : Amphotericin B liposomale     
Bao bì Dung môi Nồng độ Nhiệt độ Bảo quản Thời gian ổn định Mục lục
Thủy tinh Nước cất pha tiêm 4 mg/ml 23-27°C Tránh ánh sáng
24 Giờ
3398
Các dữ liệu về độ ổn định của nhà sản xuất

Thủy tinh Nước cất pha tiêm 4 mg/ml 4°C Không rõ
7 Ngày
3398
Các dữ liệu về độ ổn định của nhà sản xuất

Thủy tinh Nước cất pha tiêm 4 mg/ml 4°C Không rõ
7 Ngày
4821
Cấp độ bằng chứng D

Nhựa polypropylen Nước cất pha tiêm 4 mg/ml 4°C Không rõ
7 Ngày
3398
Các dữ liệu về độ ổn định của nhà sản xuất

Không rõ Glucose 5% 0,2 & 2 mg/ml 4°C Không rõ
7 Ngày
4821
Cấp độ bằng chứng D

Không rõ Glucose 5% 0,2 >> 2 mg/ml 2-8°C Không rõ
7 Ngày
3398
Các dữ liệu về độ ổn định của nhà sản xuất

Không rõ Glucose 5% 0,2 >> 2 mg/ml 23-27°C Không rõ
72 Giờ
3398
Các dữ liệu về độ ổn định của nhà sản xuất


  Mentions Légales