最新更新 :
18/03/2026
抗真菌薬   Amphotericin B liposomale  
注射薬
点眼薬
溶媒内の安定性 混合時の安定性 安定性に影響する因子 互換性 投与経路 引用文献 PDF
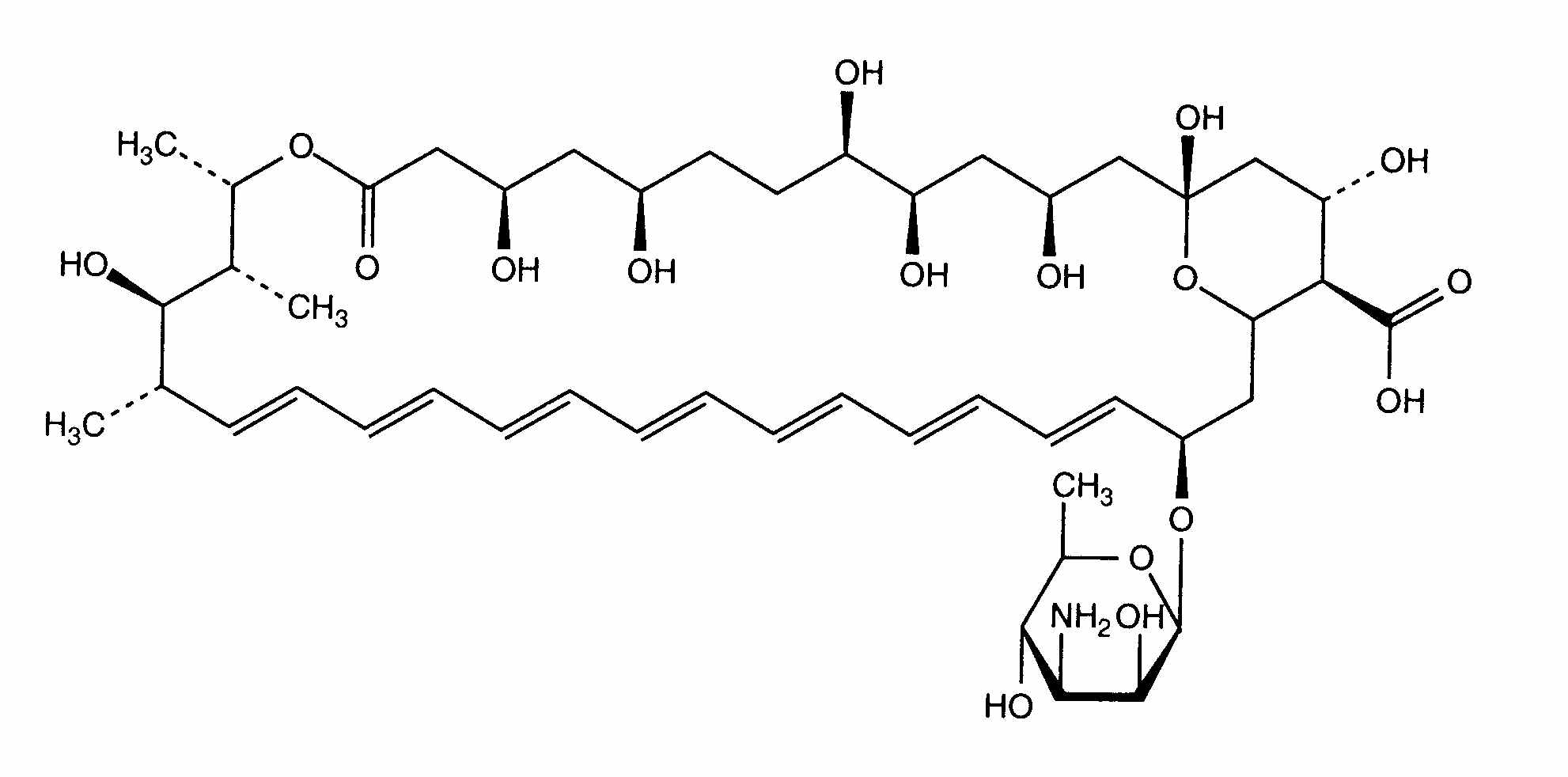
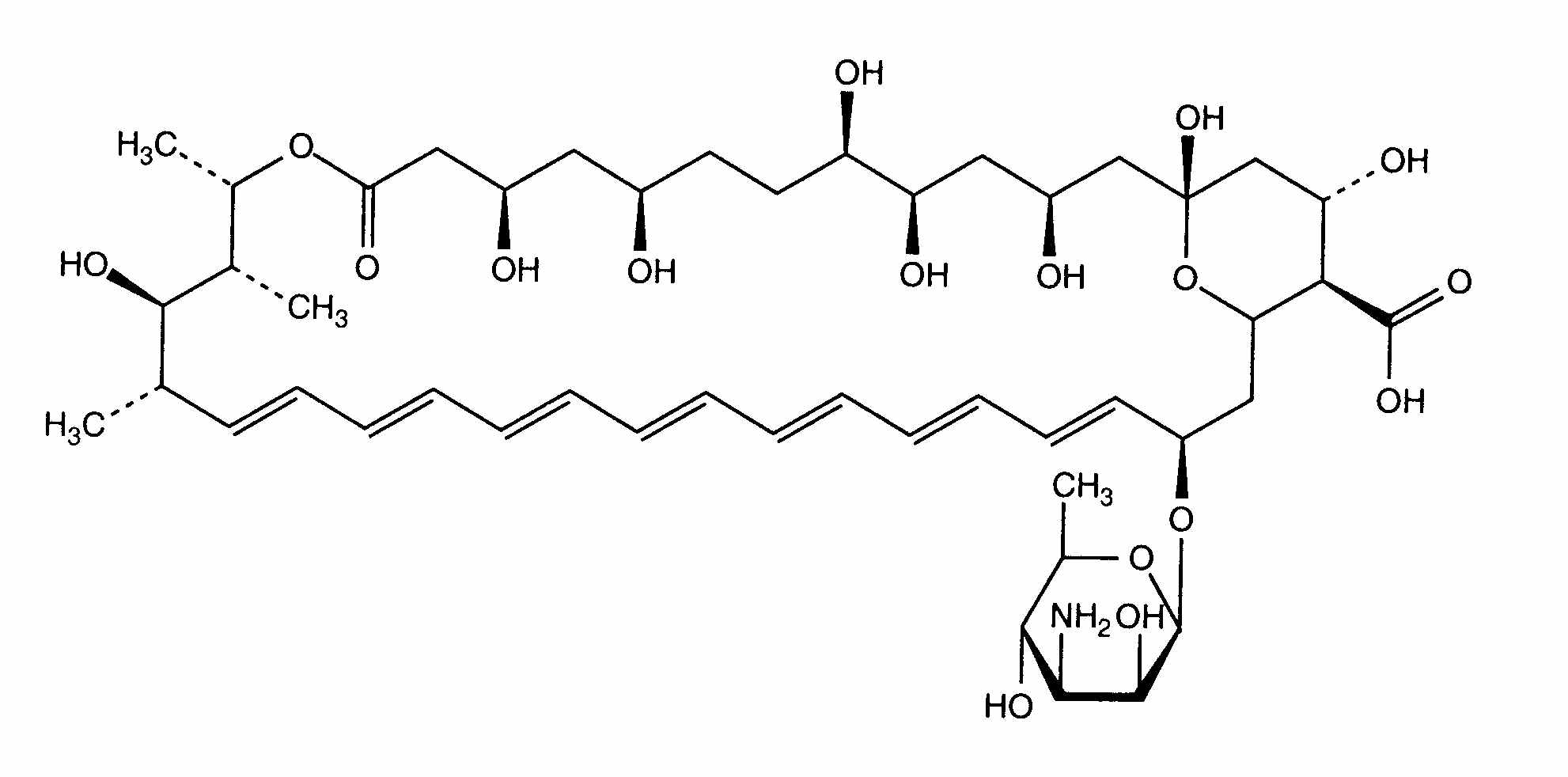
リポソーム   化学構造  

商品名   商品名     

商品名、賦形剤は国、製薬会社ごとに異なることがあります

Ambisome アイスランド, アイルランド, アメリカ, アラブ首長国連邦, アルゼンチン, イギリス, イタリア, インド, エジプト, オランダ, オーストリア, カナダ, ギリシア, サウジアラビア, スイス, スウェーデン, スペイン, タイ, チリ, デンマーク, トルコ, ドイツ, ニュージーランド, ノルウェー, ハンガリー, フィンランド, フランス, ブラジル, ベルギー, ペルー, ポルトガル, ポーランド, ルクセンブルグ, 日本
溶媒内の安定性   注射薬   溶媒内の安定性 : Amphotericin B liposomale     
容器 溶媒 濃度 温度 保管 安定期間 引用文献
ガラス 注射用水 4 mg/ml 23-27°C 遮光
24 時間
3398
製薬会社の安定性データ

ガラス 注射用水 4 mg/ml 4°C 特記なし
7 日
3398
製薬会社の安定性データ

ガラス 注射用水 4 mg/ml 4°C 特記なし
7 日
4821
エビデンスレベル D

ポリプロピレン 注射用水 4 mg/ml 4°C 特記なし
7 日
3398
製薬会社の安定性データ

指定なし グルコース5% 0,2 & 2 mg/ml 4°C 特記なし
7 日
4821
エビデンスレベル D

指定なし グルコース5% 0,2 >> 2 mg/ml 2-8°C 特記なし
7 日
3398
製薬会社の安定性データ

指定なし グルコース5% 0,2 >> 2 mg/ml 23-27°C 特記なし
72 時間
3398
製薬会社の安定性データ


  Mentions Légales