Zadnji put ažurirano :
18/03/2026
antifungicid   Amphotericin B liposomale  
injekcija
kapi za oko
Stabilizacija rješenja Stabilnost mješavine Stabilizacijski faktor Kompatibilnosti način davanja lijeka Bibliografija pdf
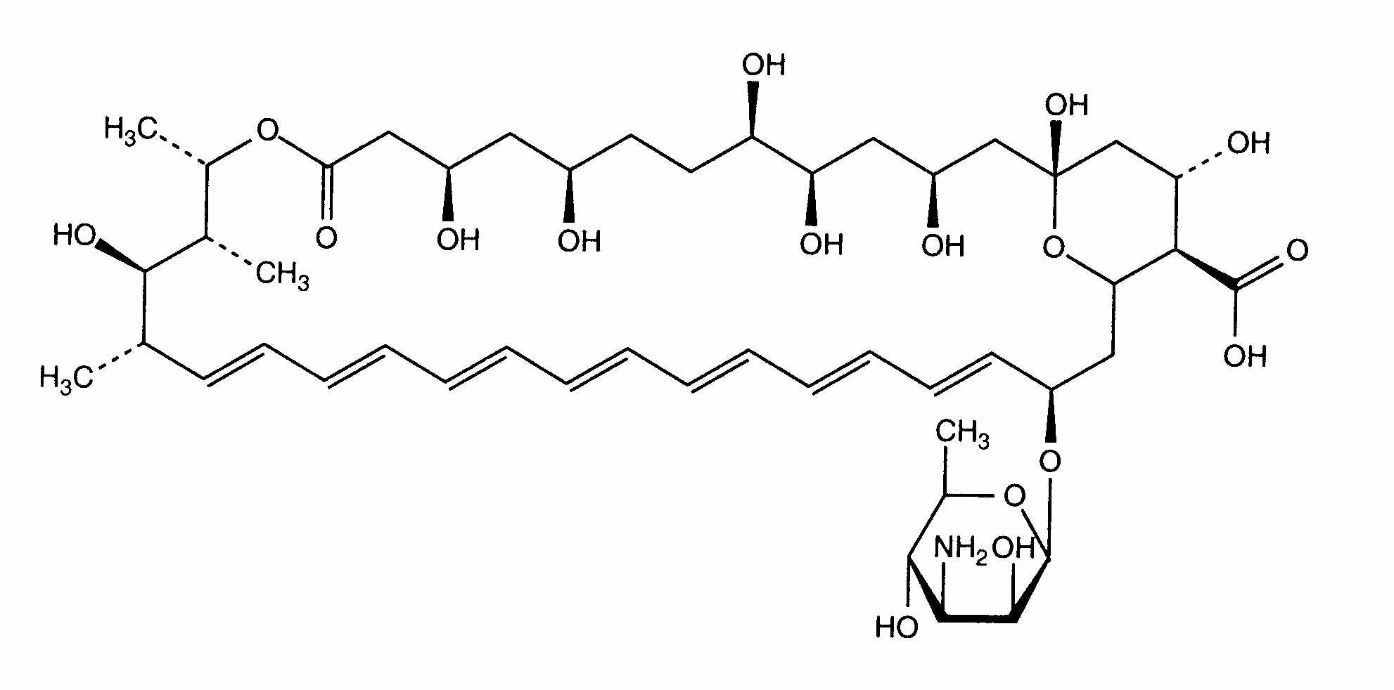
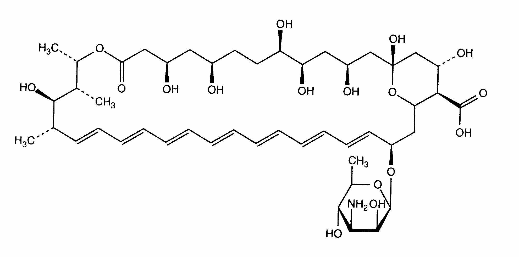
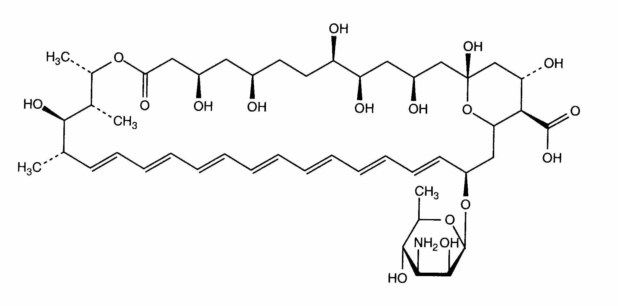
liposomi   Kemijska struktura  

Nekomercijalni   Nekomercijalni     

Zaštićeni nazivi su indikativni i sastav ekscipijensa može biti različit ovisno o državi i laboratorijima

Ambisome Indija, Argentina, Austrija, Belgija, Brazil, Čile, Danska, Egipat, Finska, Francuska, Grčka, Irska, Island, Italija, Japan, Kanada, Luksemburg, Madžarska, Nizozemska, Njemačka, Norveška, novi Zeland, Peru, Poljska, Portugal, S A D, Saudijska Arabija, Španjolska, Švedska, Švicarska, Tajland, Turska, Ujedinjeni Arapski Emirati, Velika Britanija
Stabilizacija rješenja   injekcija   Stabilizacija rješenja : Amphotericin B liposomale     
Kontejner sredstvo za rastapanje koncentracija temperatura Konzerviranje Trajanje stabilnosti Bibliografija
čaša čista voda za injektiranje 4 mg/ml 23-27°C Zaštićeno od svjetlosti
24 sat
3398
Podaci proizvođača o stabilnosti

čaša čista voda za injektiranje 4 mg/ml 4°C nespecifičan
7 dan
3398
Podaci proizvođača o stabilnosti

čaša čista voda za injektiranje 4 mg/ml 4°C nespecifičan
7 dan
4821
Razina dokaza D

polipropilen čista voda za injektiranje 4 mg/ml 4°C nespecifičan
7 dan
3398
Podaci proizvođača o stabilnosti

nespecifičan glukoza 5% 0,2 & 2 mg/ml 4°C nespecifičan
7 dan
4821
Razina dokaza D

nespecifičan glukoza 5% 0,2 >> 2 mg/ml 2-8°C nespecifičan
7 dan
3398
Podaci proizvođača o stabilnosti

nespecifičan glukoza 5% 0,2 >> 2 mg/ml 23-27°C nespecifičan
72 sat
3398
Podaci proizvođača o stabilnosti


  Mentions Légales