Siste oppdatering :
05/12/2025
Fungicid   Amphotericin B liposomale  
Injeksjon
Øyedråper
Oppløsningsstabilitet Stabilitet i blandinger Faktorer som påvirker stabiliteten Kompatibilitet Administrasjonsmåte Referanser pdf
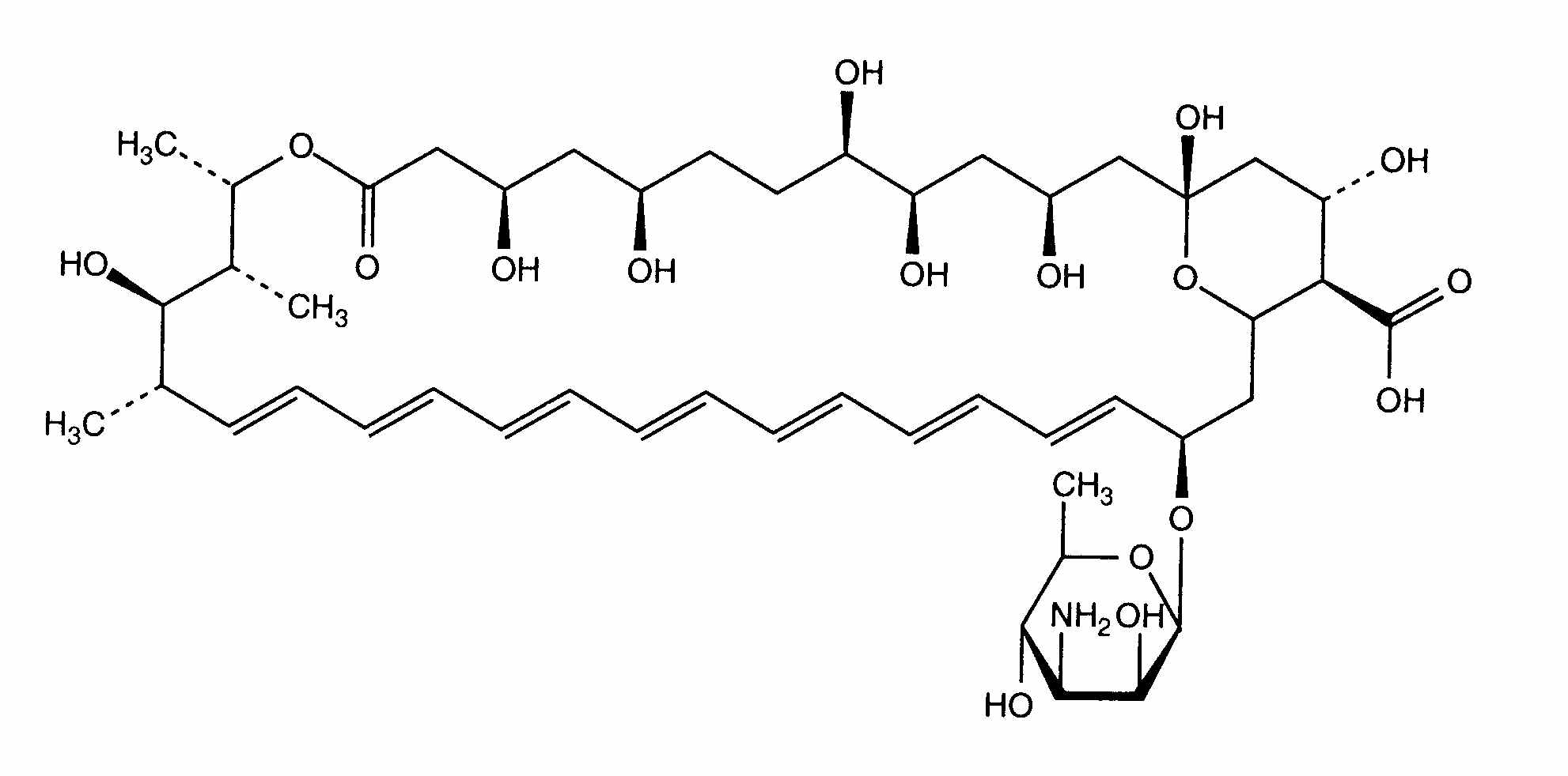
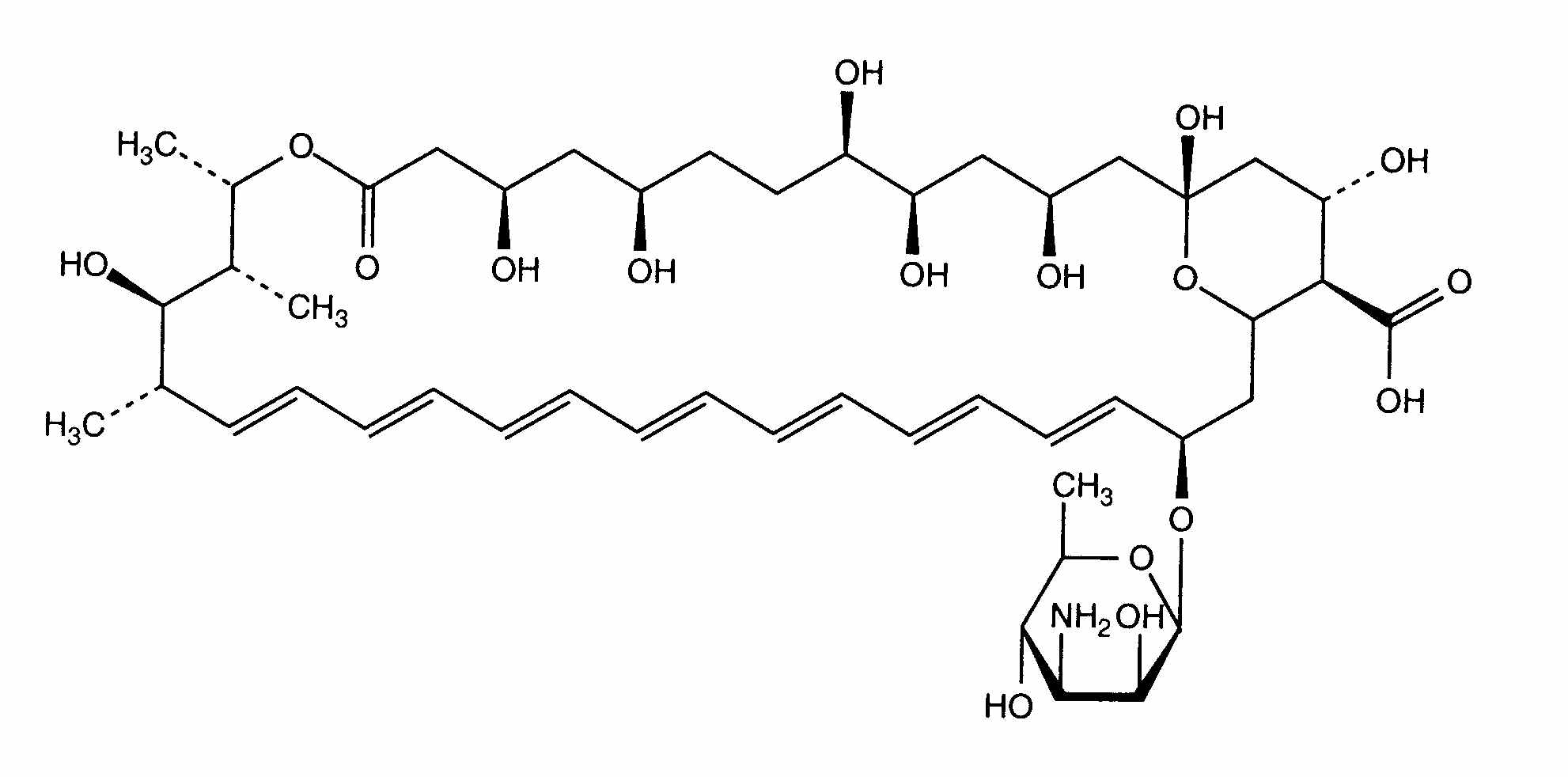
Liposom   Kjemisk struktur  

Handelsnavn   Handelsnavn     

Handelsnavn er veiledende og sammensetning av hjelpestoffer kan være forskjellig avhengig av land og produsent

Ambisome Argentina, Belgia, Brasil, Canada, Chile, Danmark, De forente arabiske emirater, Egypt, Finland, Frankrike, Hellas, India, Irland, Island, Italia, Japan, Luxembourg, Nederland, New Zealand, Norge, Peru, Polen, Portugal, Saudi-Arabia, Spania, Storbritannia, Sveits, Sverige, Thailand, Tyrkia, Tyskland, Ungarn, USA, Østerrike
Oppløsningsstabilitet   Injeksjon   Oppløsningsstabilitet : Amphotericin B liposomale     
Beholder Oppløsningsmiddel Konsentrasjon Temperatur Oppbevaring Varighet av stabilitet Referanser
Glass Vann til injeksjon 4 mg/ml 23-27°C Beskyttes mot lys
24 Tid
3398
Stabilitetsopplysninger fra produsent

Glass Vann til injeksjon 4 mg/ml 4°C Ikke angitt
7 Dag
3398
Stabilitetsopplysninger fra produsent

Glass Vann til injeksjon 4 mg/ml 4°C Ikke angitt
7 Dag
4821
Bevisgrad D

Polypropylen Vann til injeksjon 4 mg/ml 4°C Ikke angitt
7 Dag
3398
Stabilitetsopplysninger fra produsent

Ikke angitt Glukose 5 % 0,2 & 2 mg/ml 4°C Ikke angitt
7 Dag
4821
Bevisgrad D

Ikke angitt Glukose 5 % 0,2 >> 2 mg/ml 2-8°C Ikke angitt
7 Dag
3398
Stabilitetsopplysninger fra produsent

Ikke angitt Glukose 5 % 0,2 >> 2 mg/ml 23-27°C Ikke angitt
72 Tid
3398
Stabilitetsopplysninger fra produsent


  Mentions Légales