Last update :
18/03/2026
Antifungal   Amphotericin B liposomale  
injection
Eye-drops
Stability in solutions Stability of mixtures Factors which affect stability Compatibility Route of administration References pdf
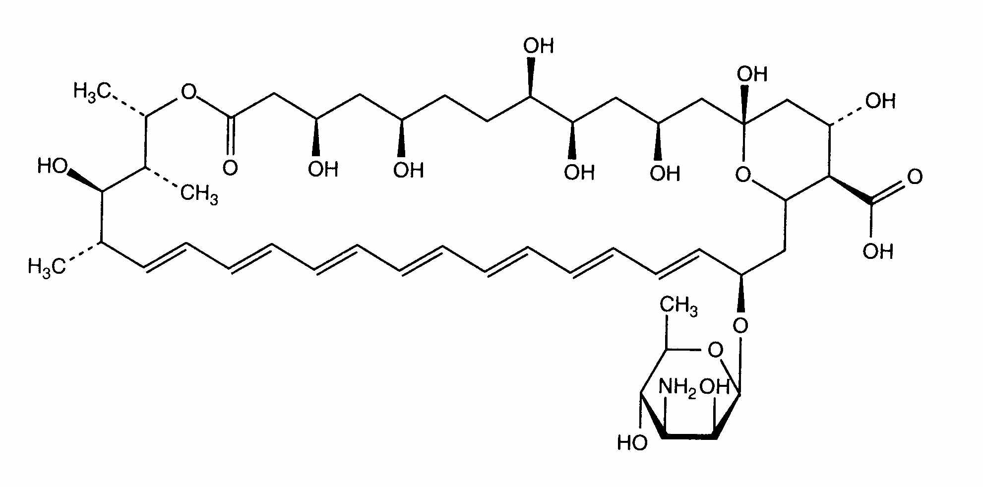
Liposome   Chemical structure  

Tradename   Tradename     

Trade names are indicative and excipients composition can be different depending on the country and manufacturers

Ambisome Argentina, Austria, Belgium, Brazil, Canada, Chile, Denmark, Egypt, Finland, France, Germany, Great Britain, Greece, Hungary, Iceland, India, Ireland, Italy, Japan, Luxembourg, Netherlands, New Zealand, Norway, Peru, Poland, Portugal, Saudi Arabia, Spain, Sweden, Switzerland, Thailand, Turkey, United Arab Emirates, United States of America
Stability in solutions   injection   Stability in solutions : Amphotericin B liposomale     
Container Solvent Concentration Temperature Storage Duration of stability References
Glass Water for Injection 4 mg/ml 23-27°C Protect from light
24 Hour
3398
Manufacturer's stability data

Glass Water for Injection 4 mg/ml 4°C Not specified
7 Day
3398
Manufacturer's stability data

Glass Water for Injection 4 mg/ml 4°C Not specified
7 Day
4821
Level of evidence D

Polypropylene Water for Injection 4 mg/ml 4°C Not specified
7 Day
3398
Manufacturer's stability data

Not specified Glucose 5% 0,2 & 2 mg/ml 4°C Not specified
7 Day
4821
Level of evidence D

Not specified Glucose 5% 0,2 >> 2 mg/ml 2-8°C Not specified
7 Day
3398
Manufacturer's stability data

Not specified Glucose 5% 0,2 >> 2 mg/ml 23-27°C Not specified
72 Hour
3398
Manufacturer's stability data


  Mentions Légales