Última actualização :
18/03/2026
Antifúngico   Amphotericin B liposomale  
injetável
solução oftálmica
Estabilidade em soluções simples Estabilidade em misturas Factores que afectam a sua estabilidade Compatibilidade Método de administração Bibliografía pdf
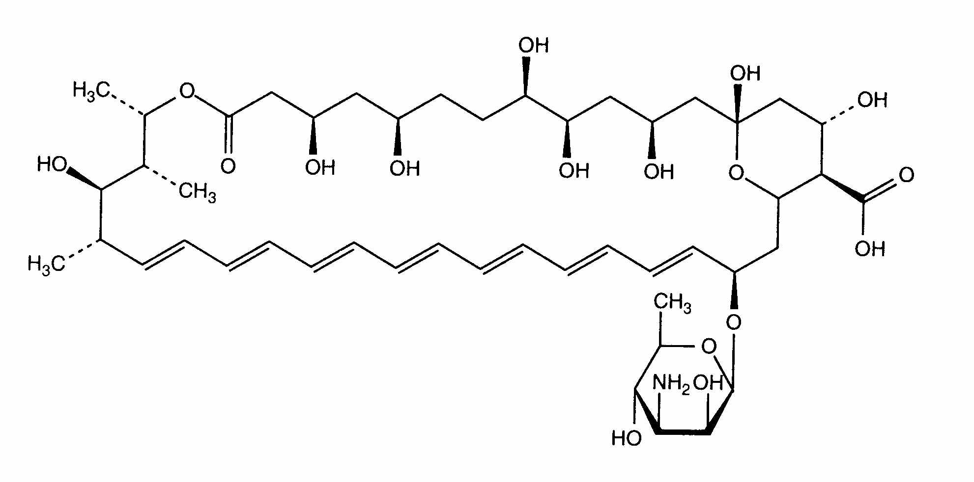
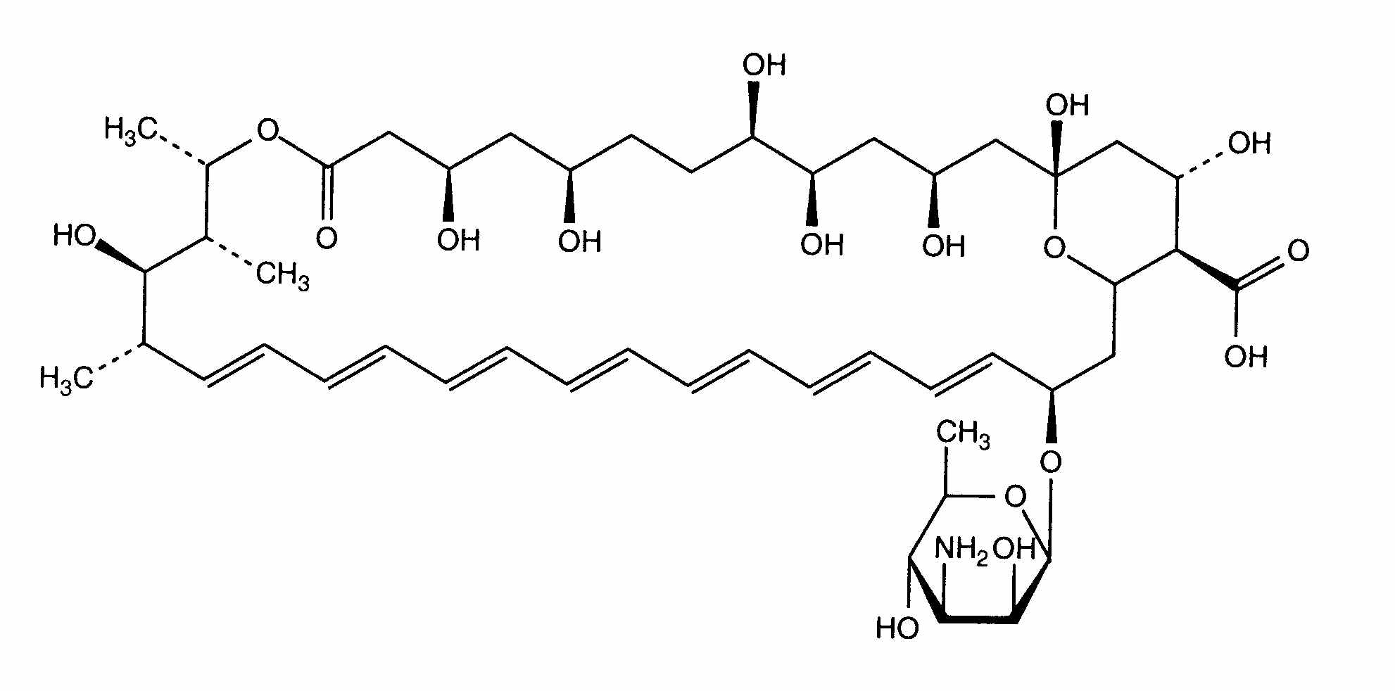
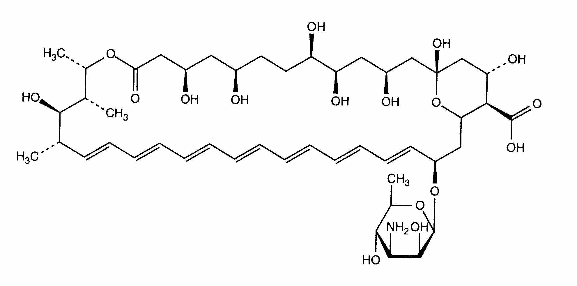
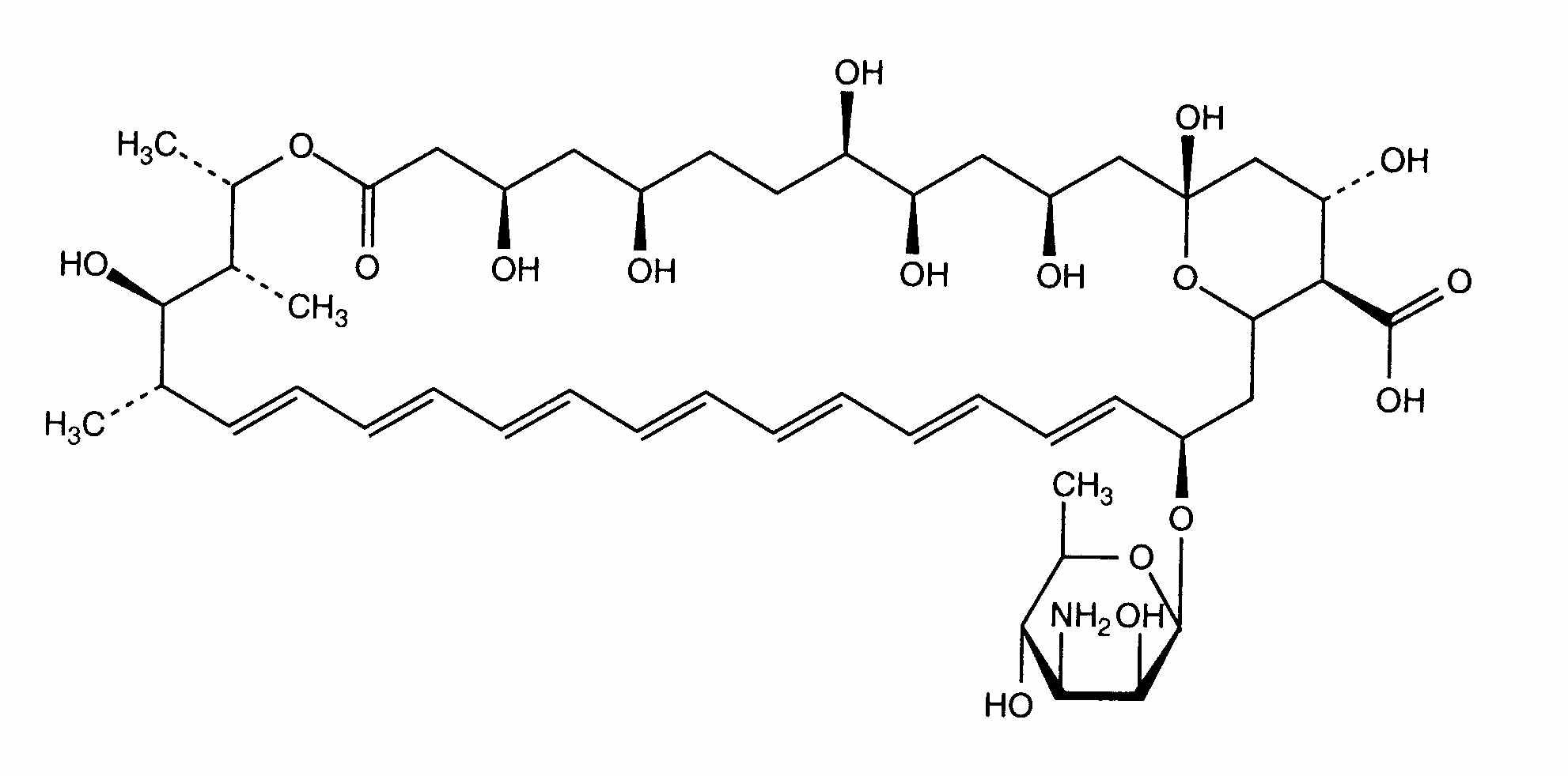
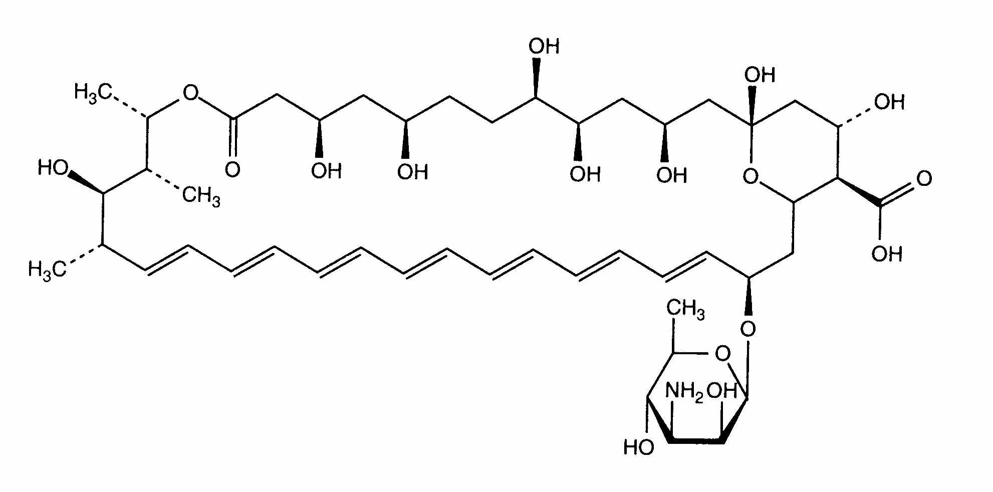
Liposoma   estrutura química  

Nomes comerciais nos diversos países   Nomes comerciais nos diversos países     

OS NOMES COMERCIAIS SÃO INDICATIVOS E OS EXCIPIENTES DA FORMULAÇÃO PODEM SER DIFERENTES CONFORME O PAÍS E FABRICANTE.

Ambisome Alemanha, Arábia Saudita, Argentina, Austria, Bélgica, Brasil, Canadá, Chilli, Dinamarca, Egipto, Emirados Árabes Unidos, Espanha, Estados Unidos de América, Finlandia, França, Gran-bretanha, Grècia, Hungria, Índia, Irlanda, Islandia, Itália, Japón, Luxemburgo, Noruega, nova Zelândia, Países Baixos, Peru, Polonia, Portugal, Suècia, Suicia, Tailandia, Turquia
Estabilidade em soluções simples   injetável   Estabilidade em soluções simples : Amphotericin B liposomale     
Embalagem Solvente concentração temperatura conservação Duração da estabilidade Bibliografia
vidro Agua para injectaveis 4 mg/ml 23-27°C ao abrigo da luz
24 hora
3398
Dados estabilidade do fabricante

vidro Agua para injectaveis 4 mg/ml 4°C no especificado
7 dia
3398
Dados estabilidade do fabricante

vidro Agua para injectaveis 4 mg/ml 4°C no especificado
7 dia
4821
Nível de evidência D

Polipropileno Agua para injectaveis 4 mg/ml 4°C no especificado
7 dia
3398
Dados estabilidade do fabricante

no especificado Glucose 5% 0,2 & 2 mg/ml 4°C no especificado
7 dia
4821
Nível de evidência D

no especificado Glucose 5% 0,2 >> 2 mg/ml 2-8°C no especificado
7 dia
3398
Dados estabilidade do fabricante

no especificado Glucose 5% 0,2 >> 2 mg/ml 23-27°C no especificado
72 hora
3398
Dados estabilidade do fabricante


  Mentions Légales