Ostatnia aktualizacja :
03/02/2026
Lek przeciwgrzybiczny   Amphotericin B liposomale  
Injekcje
Krople oczne
Trwałość roztworów Trwałość w mieszaninie Czynnik wpływający na trwałość Zgodność Sposób podania Bibliografia pdf
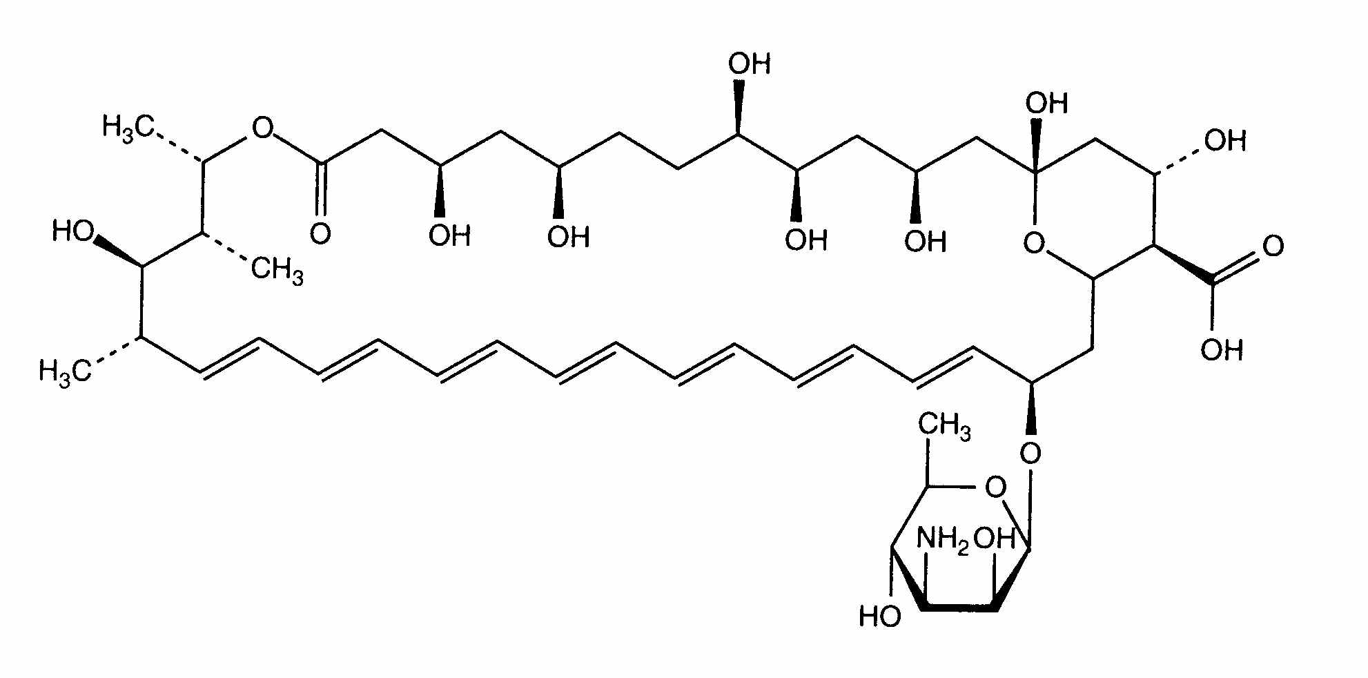
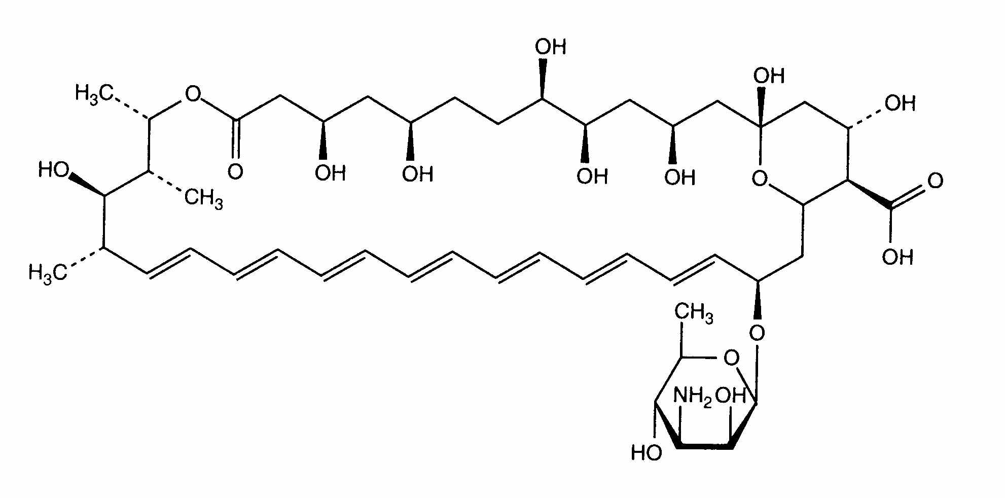
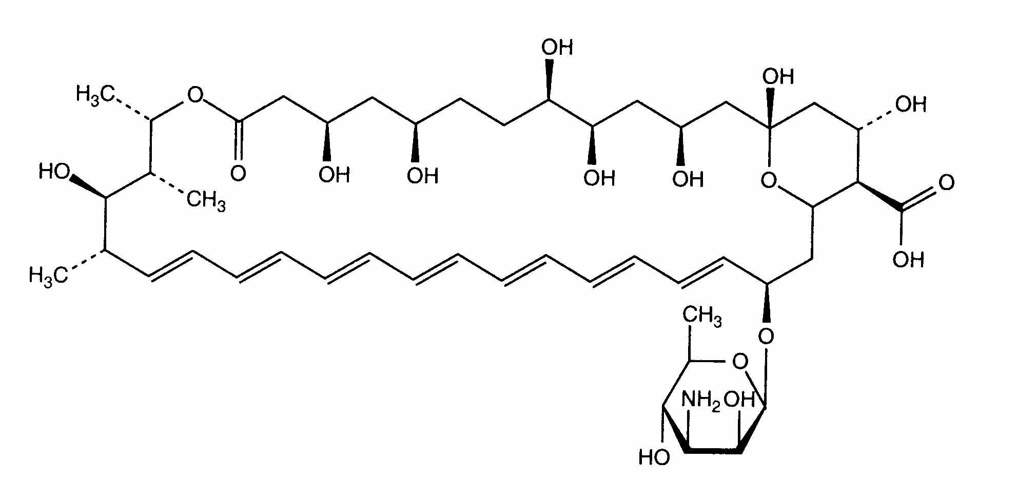
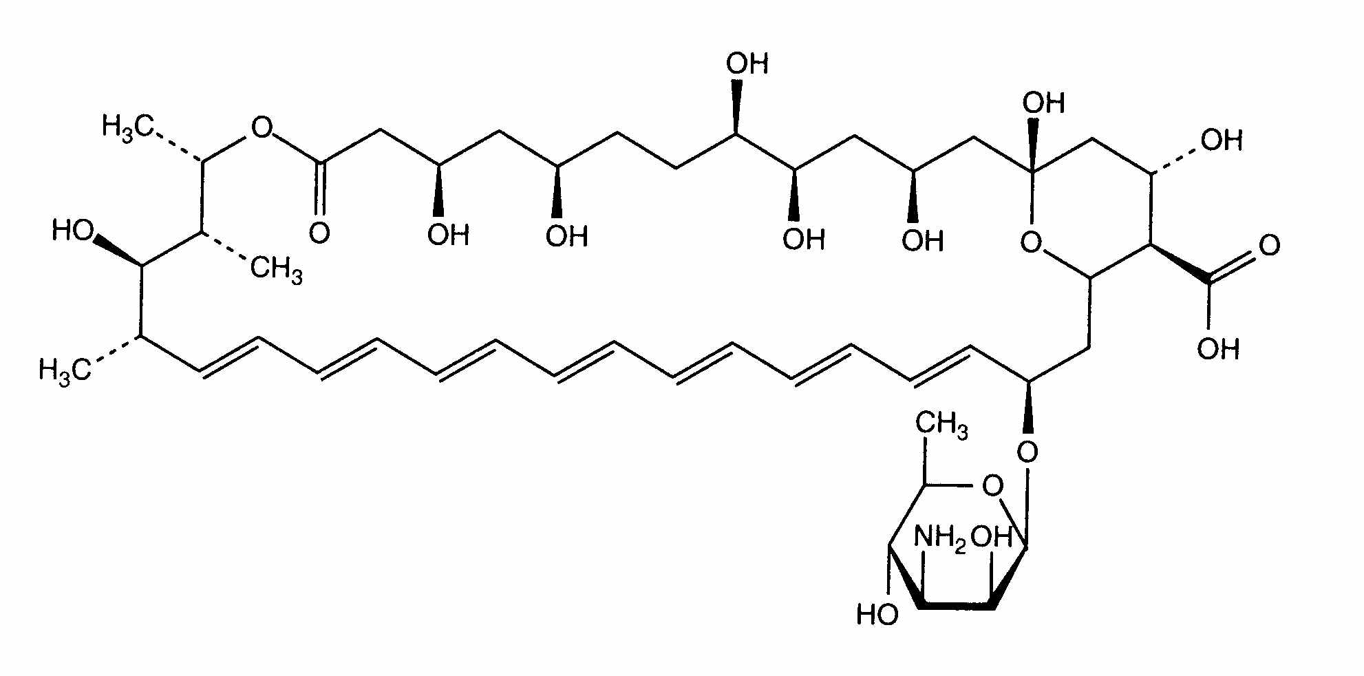
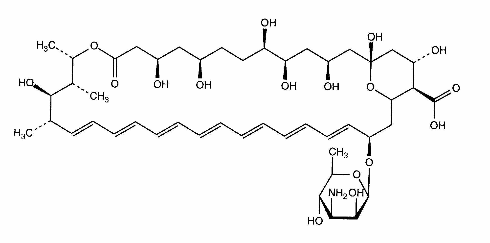
Liposomy   Struktura chemiczna  

Nazwa handlowa   Nazwa handlowa     

Trade names are indicative and excipients composition can be different depending on the country and manufacturers

Ambisome Arabia Saudyjska, Argentyna, Austria, Belgia, Brazylia, Chile, Dania, Egipt, Finlandia, Francja , Grecja, Hiszpania, Holandia, Indie, Irlandia, Islandia, Japonia, Kanada, Luksemburg, Niemcy, Norwegia, nowa Zelandia, Peru, Polska, Portugalia, Stany Zjednoczone Ameryki, Szwajcaria, Szwecja, Tajlandia, Turcja, Węgry, Wielka Brytania, Włochy, Zjednoczone Emiraty Arabskie
Trwałość roztworów   Injekcje   Trwałość roztworów : Amphotericin B liposomale     
Pojemnik Rozpuszczalnik Stężenie Temperatura Przechowywanie Czas trwania stabilności Bibliografia
Szkło Woda do wstrzyknięć 4 mg/ml 23-27°C Chronić od światła
24 Godzina
3398
Dane stabilności producenta

Szkło Woda do wstrzyknięć 4 mg/ml 4°C Nie wyszczególniony
7 Dzień
3398
Dane stabilności producenta

Szkło Woda do wstrzyknięć 4 mg/ml 4°C Nie wyszczególniony
7 Dzień
4821
Poziom wiarygodności D

Polipropylen Woda do wstrzyknięć 4 mg/ml 4°C Nie wyszczególniony
7 Dzień
3398
Dane stabilności producenta

Brak informacji Glukoza 5% 0,2 & 2 mg/ml 4°C Nie wyszczególniony
7 Dzień
4821
Poziom wiarygodności D

Brak informacji Glukoza 5% 0,2 >> 2 mg/ml 2-8°C Nie wyszczególniony
7 Dzień
3398
Dane stabilności producenta

Brak informacji Glukoza 5% 0,2 >> 2 mg/ml 23-27°C Nie wyszczególniony
72 Godzina
3398
Dane stabilności producenta


  Mentions Légales