Последнее обновление :
18/03/2026
Противогрибковое средство   Amphotericin B liposomale  
Инъекция
Глазные капли
Стабильность растворов Стабильность смесей Факторы, которые влияют на стабильность Совместимость Способы введения Библиография pdf
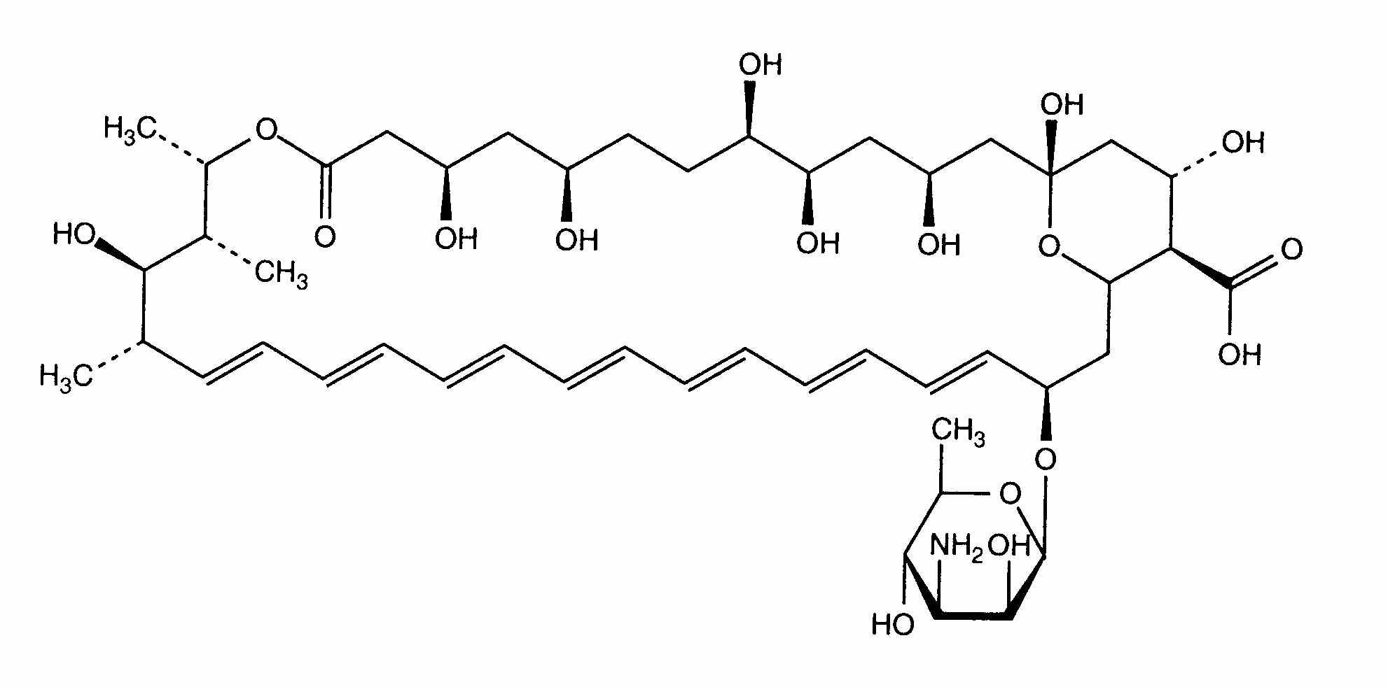
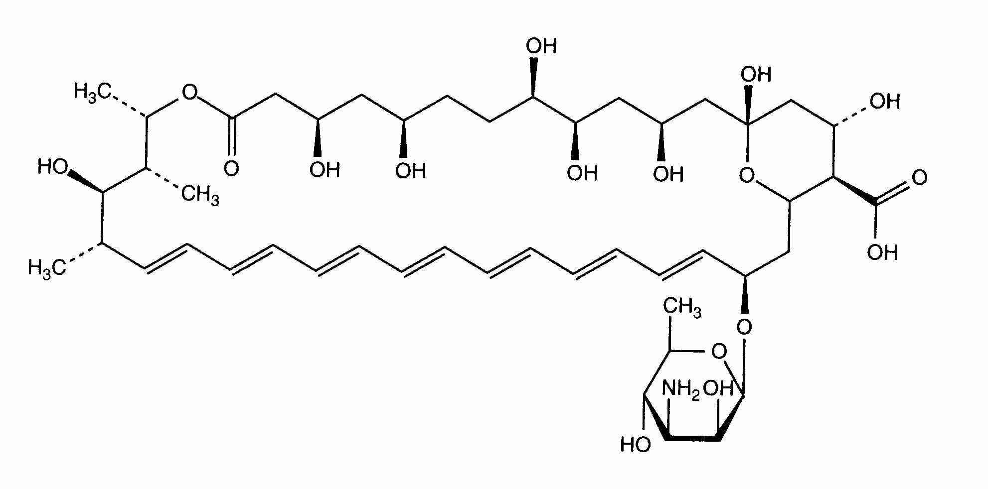
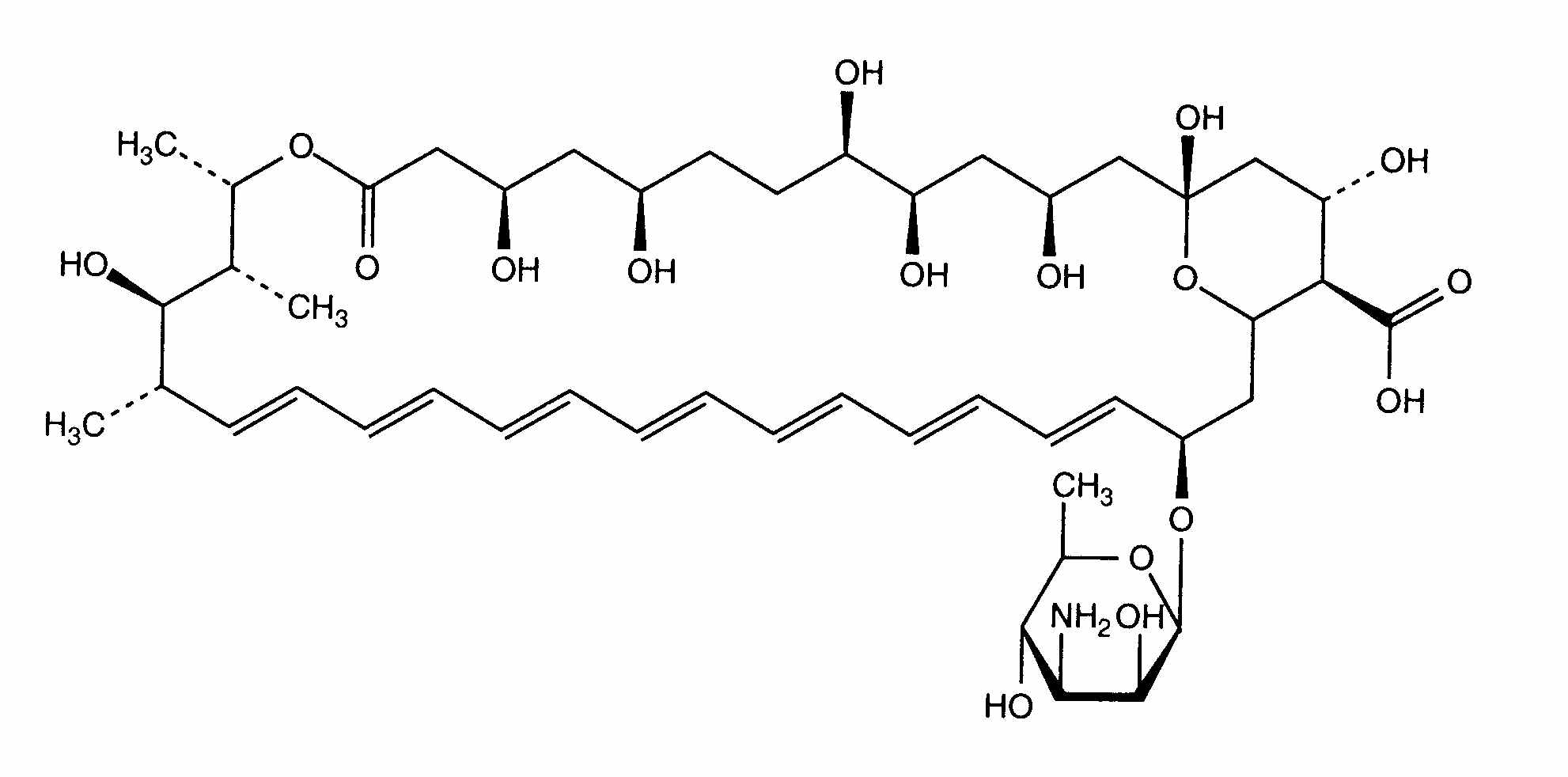
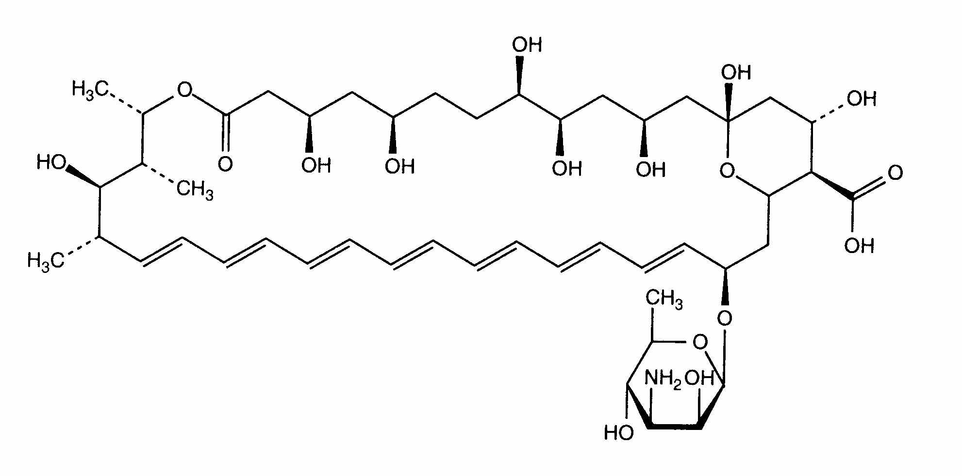
Липосома   Химическая структура  

Товарное название   Товарное название     

Trade names are indicative and excipients composition can be different depending on the country and manufacturers

Ambisome Австрия, Аргентина, Бельгия, Бразилия, Великобритания, Венгрия, Германия, Голландия, Греция, Дания, Египет, Индия, Ирландия, Исландия, Испания, Италия, Канада, Люксембург, новая Зеландия, Норвегия, Объединенные Арабские Эмираты, Перу, Польша, Португалия, Саудовская Аравия, Соединённые Штаты Америки, Таиланд, Турция, Финляндия, Франция, чили, Швейцария, Швеция, Япония
Стабильность растворов   Инъекция   Стабильность растворов : Amphotericin B liposomale     
Упаковка Растворитель Концентрация Температура Хранение Продолжительность стабильности Ссылки
Стекло Вода для инъекций 4 mg/ml 23-27°C Защищён от света
24 Час
3398
Данные по стабльности от изготовителя

Стекло Вода для инъекций 4 mg/ml 4°C Не указано
7 День
3398
Данные по стабльности от изготовителя

Стекло Вода для инъекций 4 mg/ml 4°C Не указано
7 День
4821
Уровень доказательности D

Полипропилен Вода для инъекций 4 mg/ml 4°C Не указано
7 День
3398
Данные по стабльности от изготовителя

Не указано Глюкоза 5% 0,2 & 2 mg/ml 4°C Не указано
7 День
4821
Уровень доказательности D

Не указано Глюкоза 5% 0,2 >> 2 mg/ml 2-8°C Не указано
7 День
3398
Данные по стабльности от изготовителя

Не указано Глюкоза 5% 0,2 >> 2 mg/ml 23-27°C Не указано
72 Час
3398
Данные по стабльности от изготовителя


  Mentions Légales