Ultimele actualizari :
18/03/2026
Antifungic   Amphotericin B liposomale  
Injectabil
colir
Stabilitatea in solutie Stabilitatea in amestec Factorii care influenteaza stabilitatea Compatibilitate Microunde Bibliografie pdf
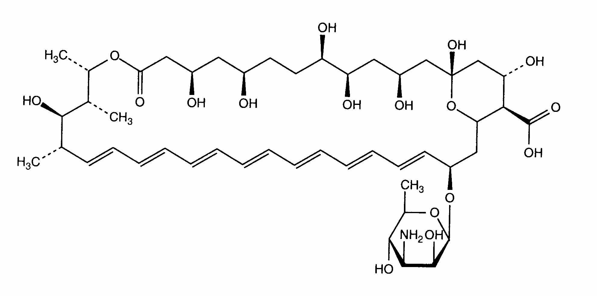
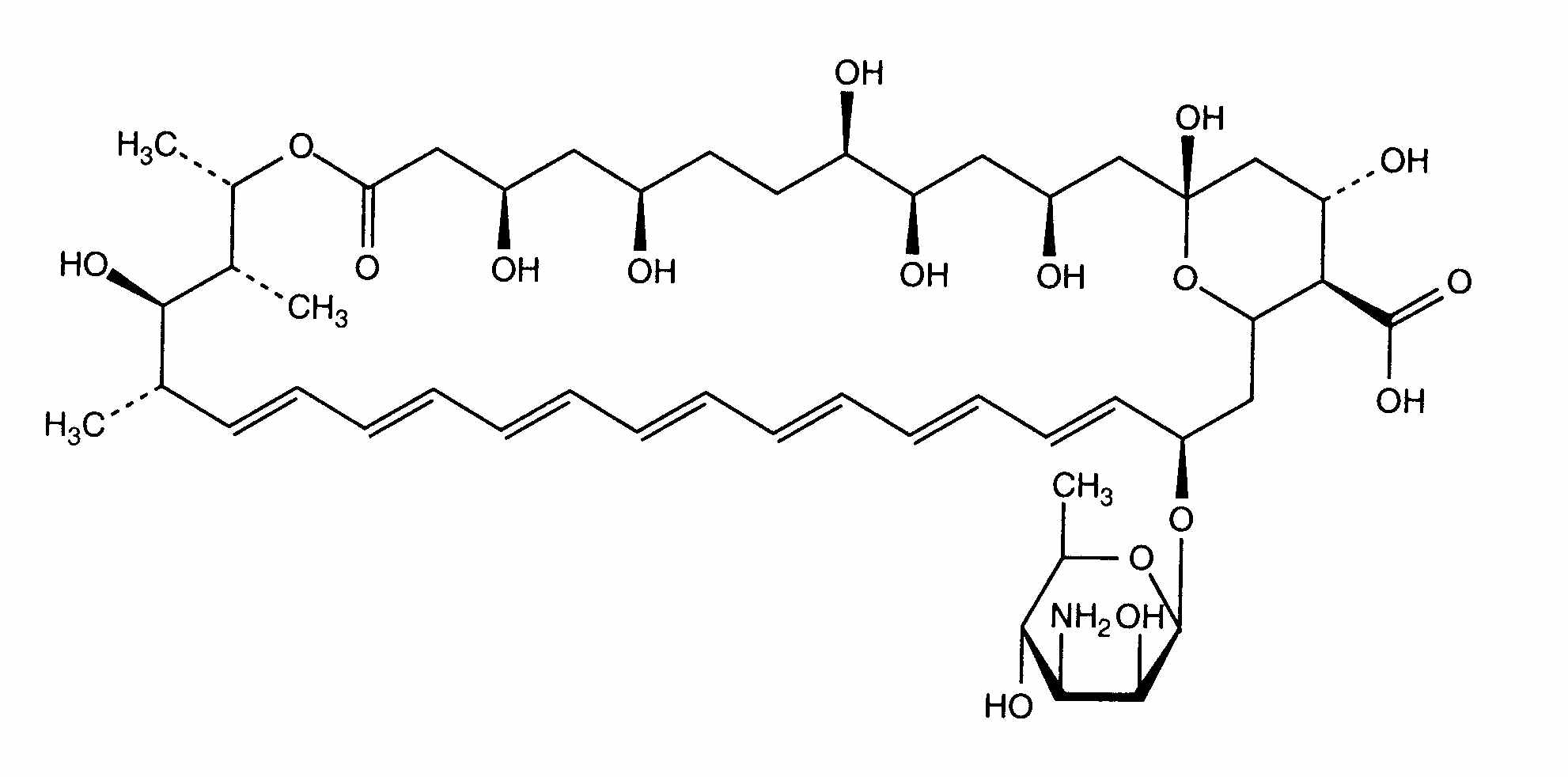
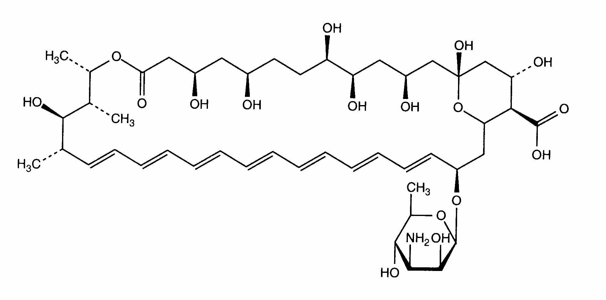
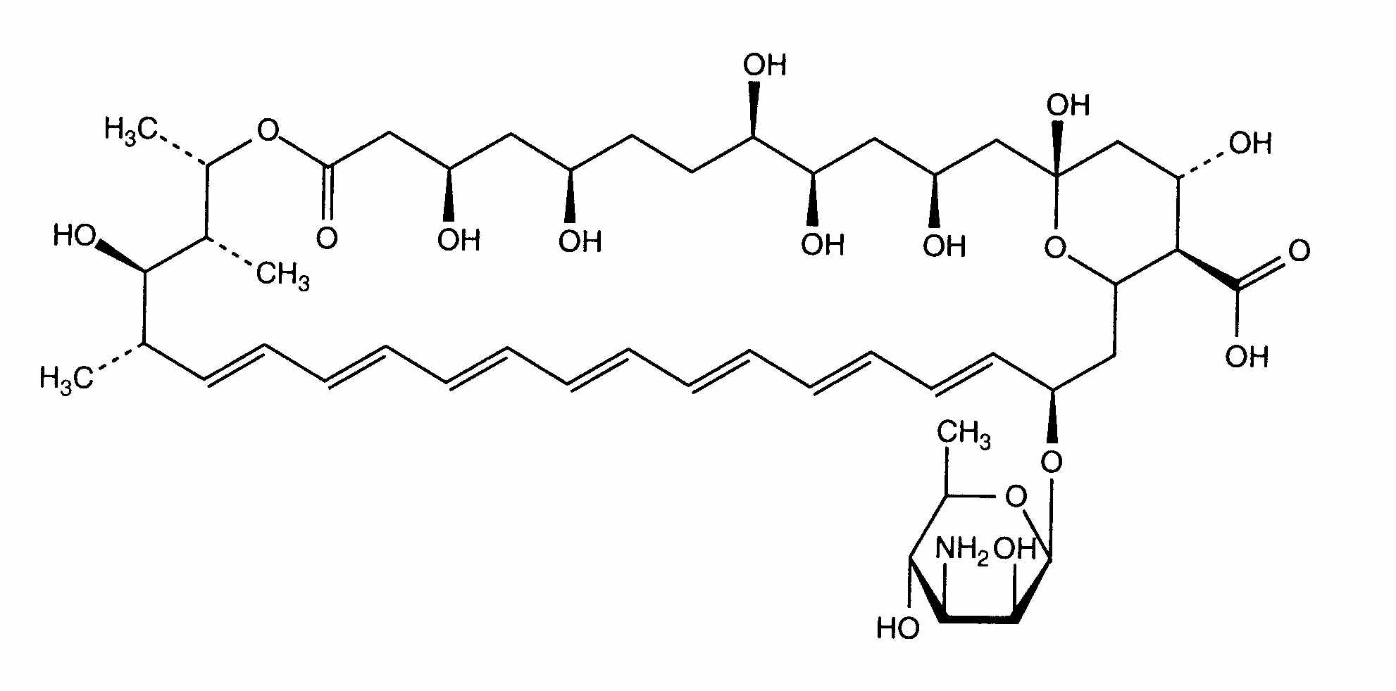
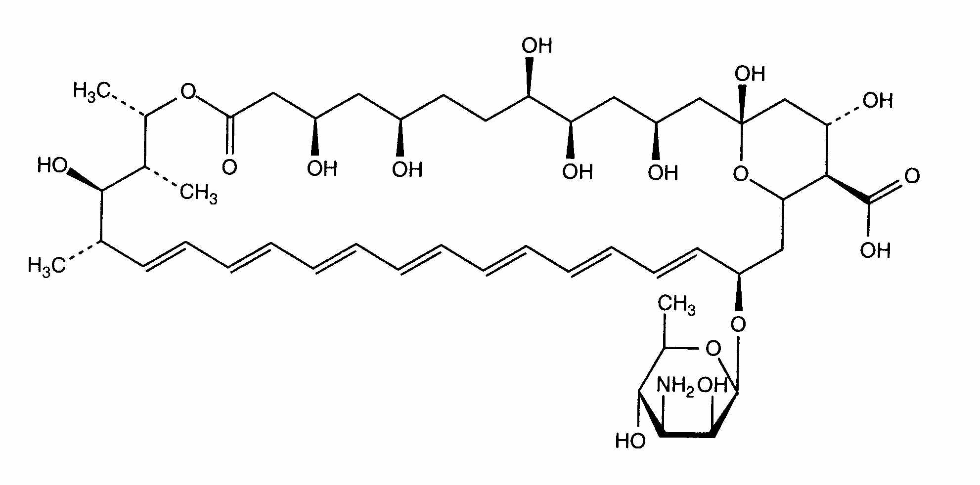
Lipozom   Formula chimica  

Denumirea comerciala   Denumirea comerciala     

Trade names are indicative and excipients composition can be different depending on the country and manufacturers

Ambisome Arabia Saudita, Argentina, Austria, Belgia, Brazilia, Canada, Chilli, Danemarca, Egipt, Elvetia, Emiratele Arabe Unite, Finlanda, Franta, Germania, Grecia, India, Irlanda, Islanda, Italia, Japonia, Luxemburg, Marea Britanie, Norvegia, noua Zeelandă, Olanda, Peru, Polonia, Portugalia, Spania, SUA, Suedia, Tailanda, Turcia, Ungaria
Stabilitatea in solutie   Injectabil   Stabilitatea in solutie : Amphotericin B liposomale     
Continut Solvent Concentratie Temperatura Conservare Durata stabilității Bibiografie
sticla apa pentru preparate injectabile 4 mg/ml 23-27°C Ferit de lumina
24 Ora
3398
Documentele de stabilitate ale producătorului

sticla apa pentru preparate injectabile 4 mg/ml 4°C Neprecizat
7 Ziua
3398
Documentele de stabilitate ale producătorului

sticla apa pentru preparate injectabile 4 mg/ml 4°C Neprecizat
7 Ziua
4821
Nivel de evidență D

polipropilen apa pentru preparate injectabile 4 mg/ml 4°C Neprecizat
7 Ziua
3398
Documentele de stabilitate ale producătorului

neprecizat Glucoza 5% 0,2 & 2 mg/ml 4°C Neprecizat
7 Ziua
4821
Nivel de evidență D

neprecizat Glucoza 5% 0,2 >> 2 mg/ml 2-8°C Neprecizat
7 Ziua
3398
Documentele de stabilitate ale producătorului

neprecizat Glucoza 5% 0,2 >> 2 mg/ml 23-27°C Neprecizat
72 Ora
3398
Documentele de stabilitate ale producătorului


  Mentions Légales