Posledná aktualizácia :
27/11/2025
antimykotikum   Amphotericin B liposomale  
Injekcia
Očná instilácia
Stabilita roztokov Stabilita v zmesiach Faktory ovplyvňujúce stabilitu Kompatibility spôsob podania Odkazy na literatúru PDF
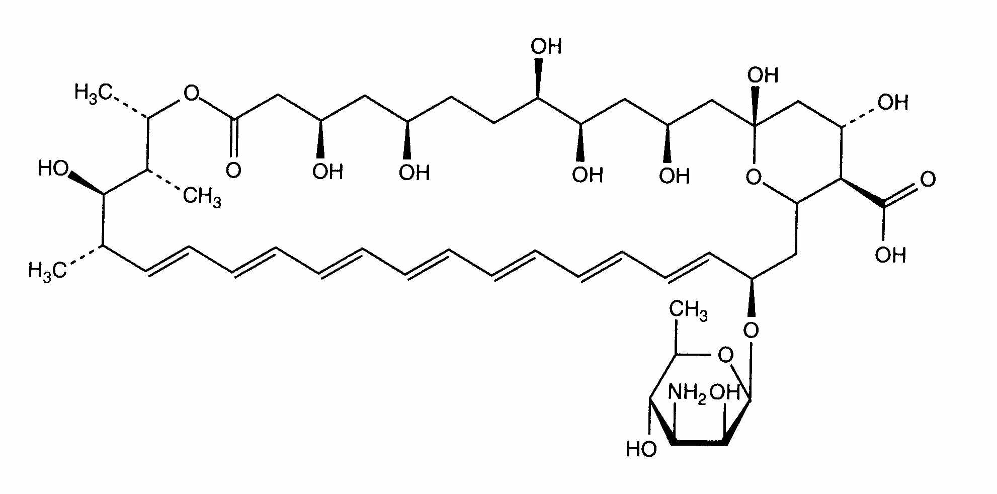
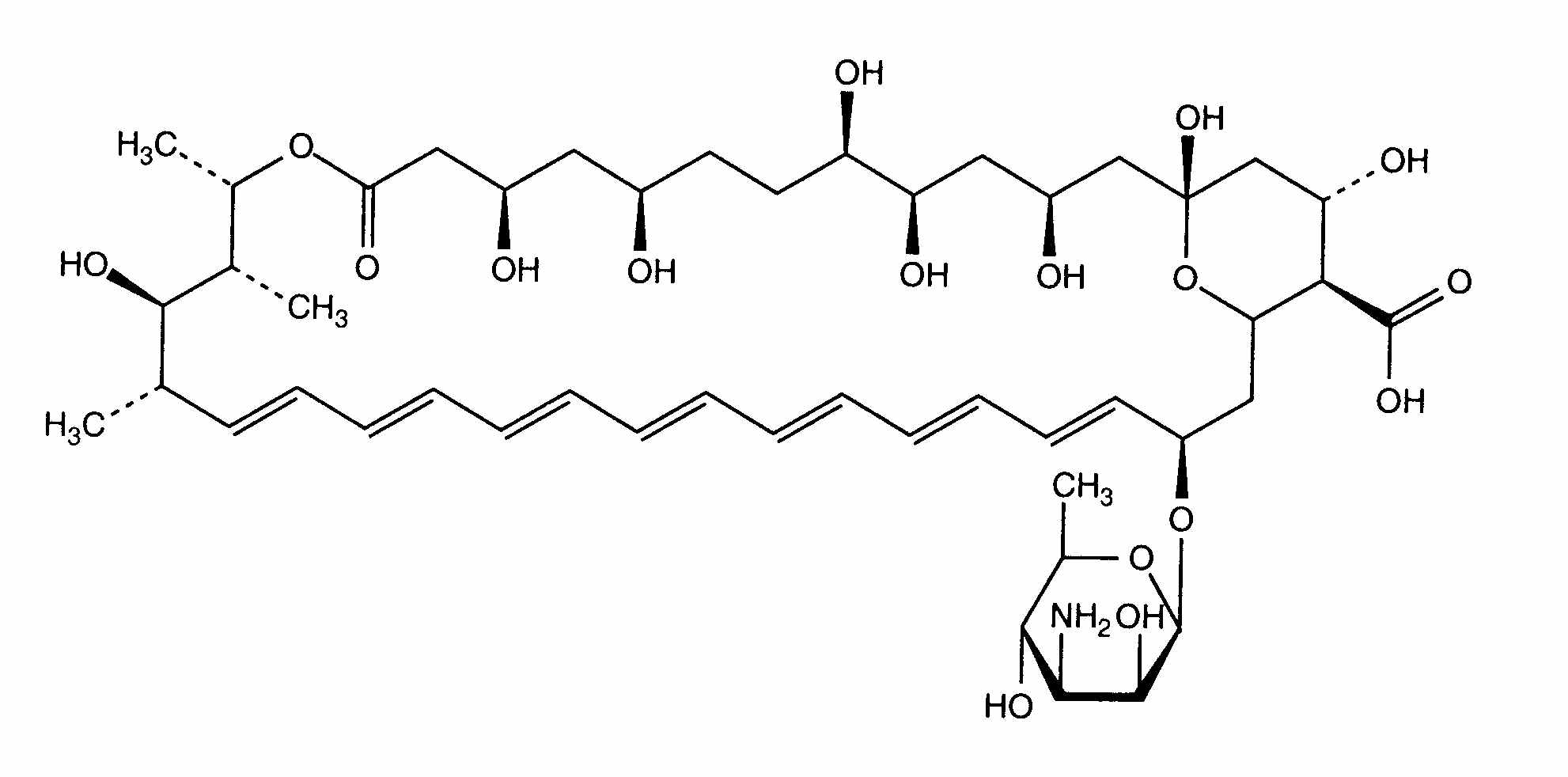
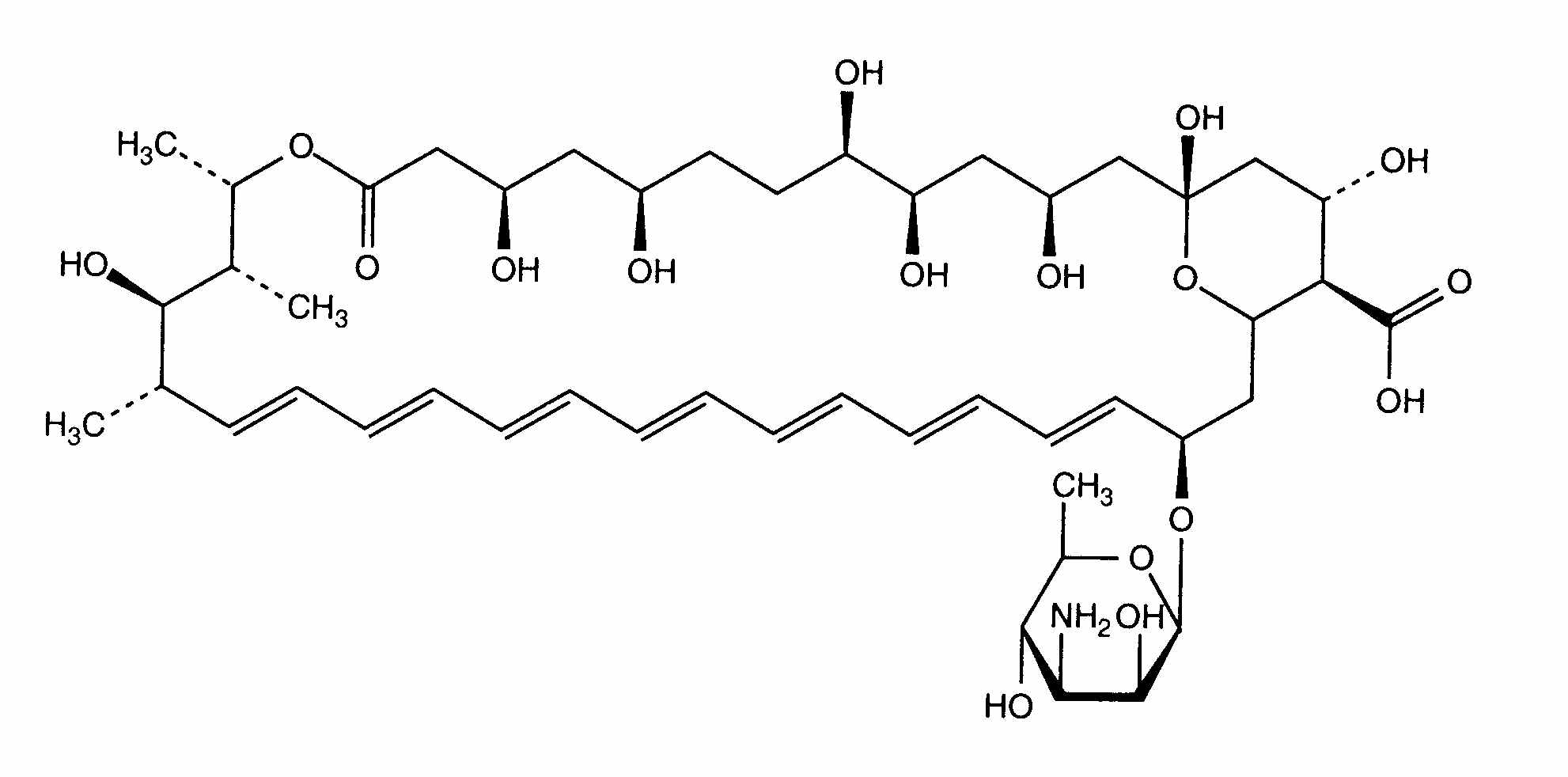
lipozóm   Chemický vzorec  

Obchodný názov   Obchodný názov     

Obchodné názvy sú orientačné, a zloženie pomocných látok sa môže líšiť v závislosti od krajiny a výrobcu.

Ambisome Argentína, Belgicko, Brazília, Čile, Dánsko, Egypt, Fínsko, Francúzsko, Grécko, Holandsko, India, Írsko, Island, Japonsko, Kanada, Luxembursko, Maďarsko, Nemecko, Nórsko, nový Zéland, peru, Poľsko, Portugalsko, Rakúsko, Saudská Arábia, Španielsko, Spojené arabské emiráty, Spojené štáty Americké, Švajčiarsko, Švédsko, Taliansko, Thajsko, Turecko, Veľká Británia
Stabilita roztokov   Injekcia   Stabilita roztokov : Amphotericin B liposomale     
obal rozpúšťadlo koncentrácia teplota uchovávanie Trvanie stability odkazy na lieteratúru
Sklo voda na injekciu 4 mg/ml 23-27°C Chránené pred svetlom
24 hodín
3398
Údaje o stabilite od výrobcu

Sklo voda na injekciu 4 mg/ml 4°C nešpecifikované
7 dní
3398
Údaje o stabilite od výrobcu

Sklo voda na injekciu 4 mg/ml 4°C nešpecifikované
7 dní
4821
Úroveň dôkazov D

polypropylén voda na injekciu 4 mg/ml 4°C nešpecifikované
7 dní
3398
Údaje o stabilite od výrobcu

nešpecifikované 5% glukóza 0,2 & 2 mg/ml 4°C nešpecifikované
7 dní
4821
Úroveň dôkazov D

nešpecifikované 5% glukóza 0,2 >> 2 mg/ml 2-8°C nešpecifikované
7 dní
3398
Údaje o stabilite od výrobcu

nešpecifikované 5% glukóza 0,2 >> 2 mg/ml 23-27°C nešpecifikované
72 hodín
3398
Údaje o stabilite od výrobcu


  Mentions Légales