Son güncelleme :
18/03/2026
Antifungal   Amphotericin B liposomale  
Enjeksiyon
Göz damlası
Çözeltilerin stabilitesi Karışımlardaki stabilitesi Stabiliteyi etkileyen faktörler Uyumluluk Uygulama yöntemi Kaynaklar pdf
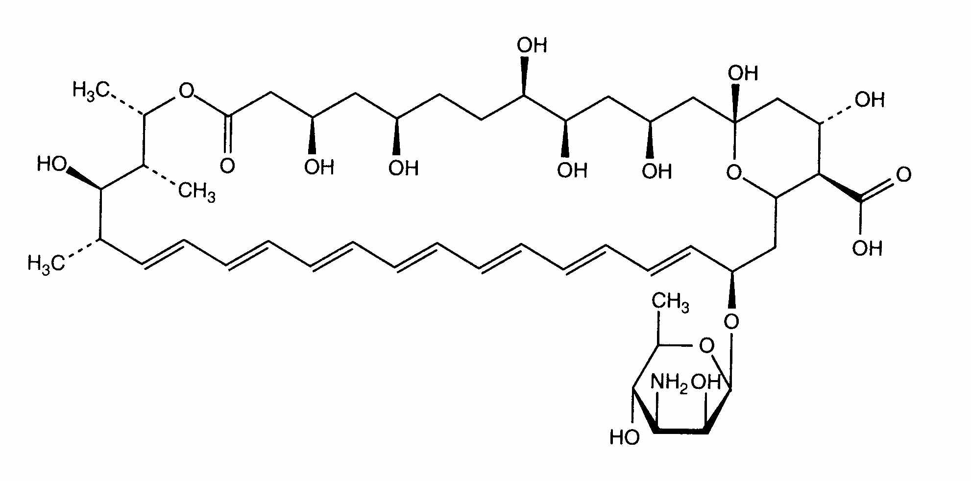
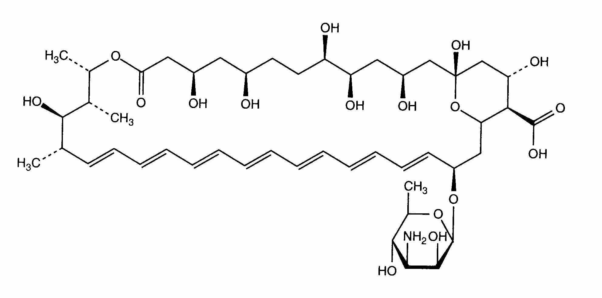
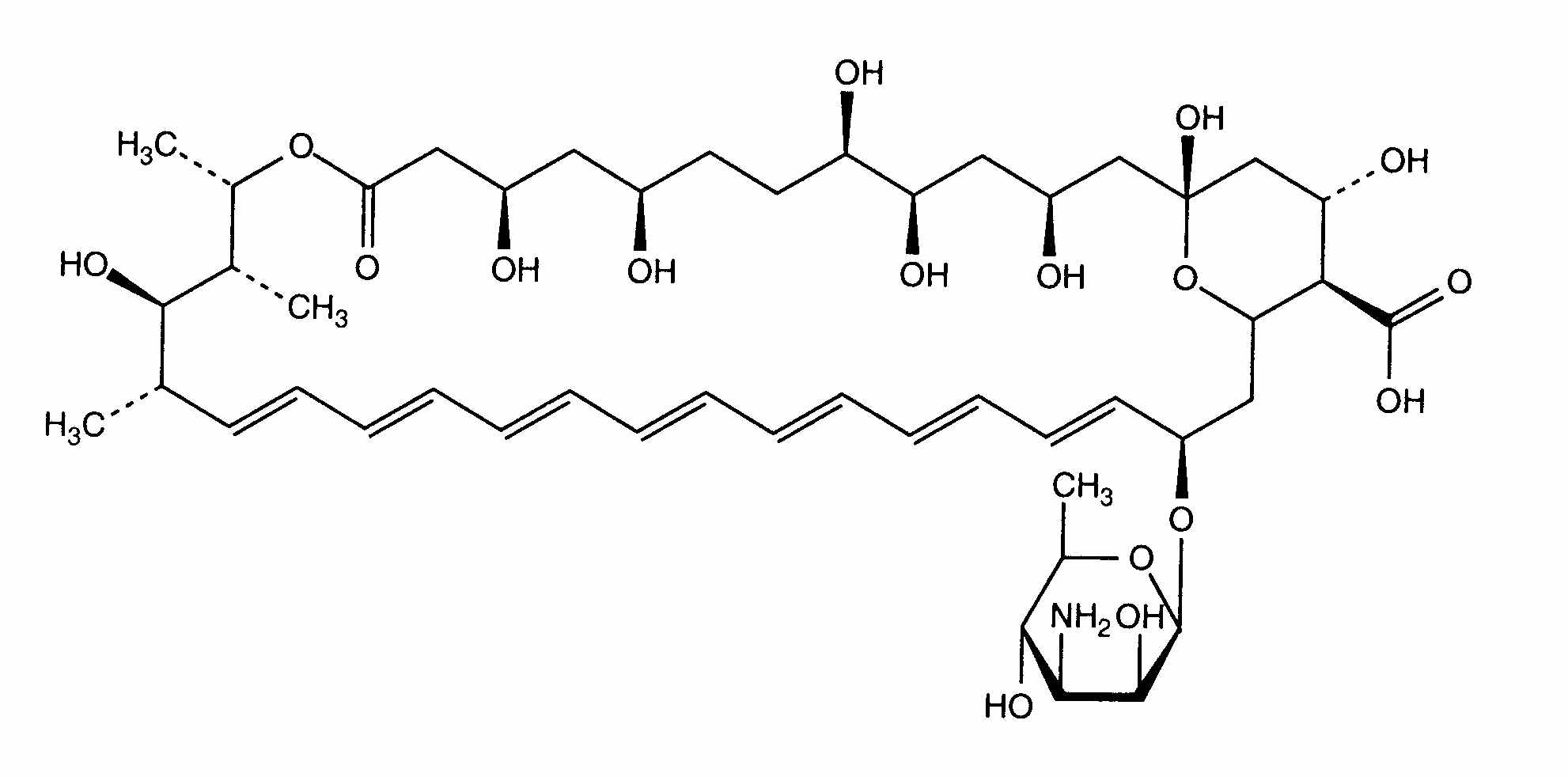
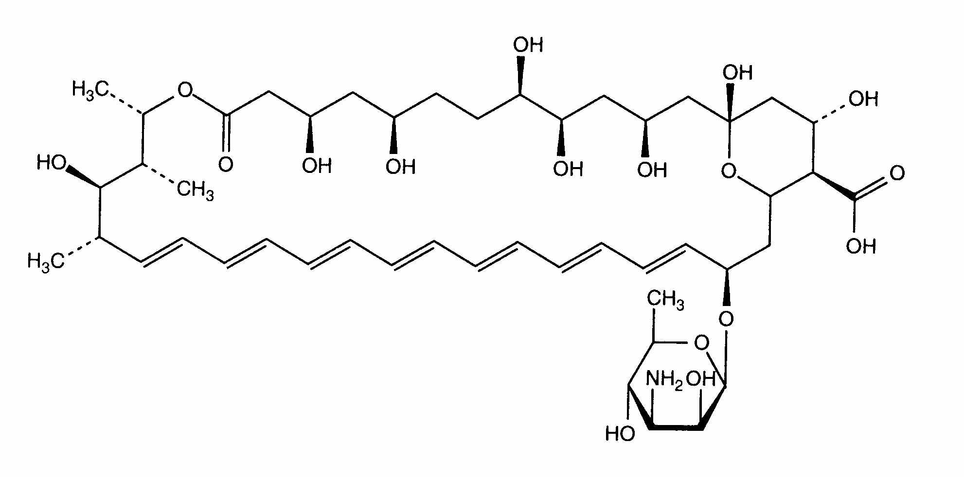
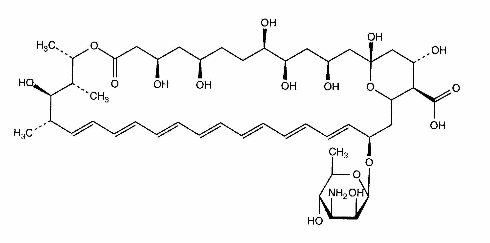
Lipozom   Kimyasal yapı   

Ticari isim   Ticari isim     

Trade names are indicative and excipients composition can be different depending on the country and manufacturers

Ambisome Almanya, Amerika Birleşik Devletleri, Arjantin, Avusturya, Belçika, Birleşik Arap Emirlikleri, Brezilya, Büyük Britanya, Danimarka, Finlandiya, Fransa, Hindistan, Hollanda, İrlanda, İspanya, İsveç, İsviçre, İtalya, İzlanda, Japonya, Kanada, Lüksemburg, Macaristan, Mısır, Norveç, Peru, Polonya, Portekiz, Şili, Suudi Arabistan, Tayland, Türkiye, yeni Zelanda, Yunanistan
Çözeltilerin stabilitesi   Enjeksiyon    Çözeltilerin stabilitesi : Amphotericin B liposomale     
Saklama kabı Çözücü Konsantrasyon Isı Saklama    Stabilite süresi Kaynaklar
Cam Enjeksiyonluk su 4 mg/ml 23-27°C Işıktan koruyunuz
24 Zaman
3398
Üreticinin stabilite verileri

Cam Enjeksiyonluk su 4 mg/ml 4°C Belirtilmemiş
7 Gün
3398
Üreticinin stabilite verileri

Cam Enjeksiyonluk su 4 mg/ml 4°C Belirtilmemiş
7 Gün
4821
Kanıt düzeyi D

Polipropilen Enjeksiyonluk su 4 mg/ml 4°C Belirtilmemiş
7 Gün
3398
Üreticinin stabilite verileri

Belirtilmemiş Glukoz %5 0,2 & 2 mg/ml 4°C Belirtilmemiş
7 Gün
4821
Kanıt düzeyi D

Belirtilmemiş Glukoz %5 0,2 >> 2 mg/ml 2-8°C Belirtilmemiş
7 Gün
3398
Üreticinin stabilite verileri

Belirtilmemiş Glukoz %5 0,2 >> 2 mg/ml 23-27°C Belirtilmemiş
72 Zaman
3398
Üreticinin stabilite verileri


  Mentions Légales