Siste oppdatering :
18/03/2026
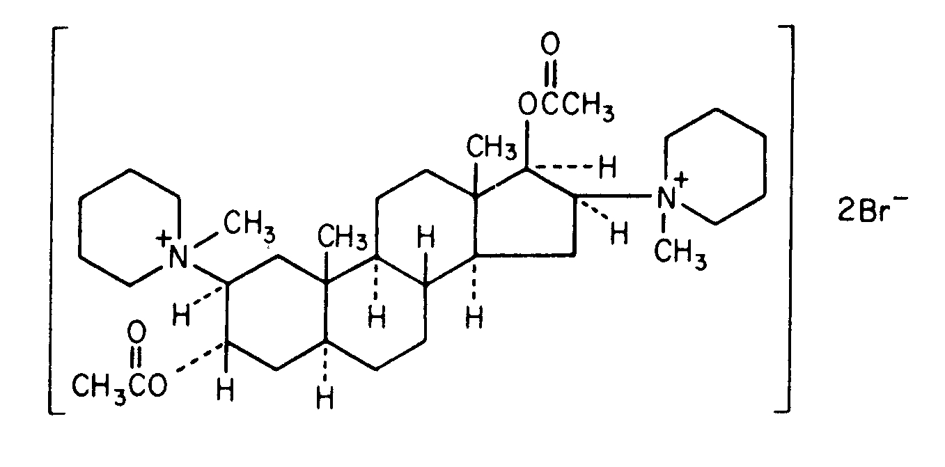
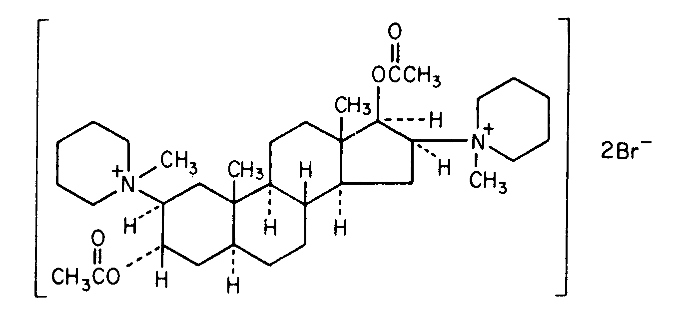
Kurarelignende middel   Pancuronium bromide  
Injeksjon
Oppløsningsstabilitet Stabilitet i blandinger Faktorer som påvirker stabiliteten Kompatibilitet Administrasjonsmåte Referanser pdf
   Kjemisk struktur  

Handelsnavn   Handelsnavn     

Handelsnavn er veiledende og sammensetning av hjelpestoffer kan være forskjellig avhengig av land og produsent

Pancuronium bromide injection Canada, USA
Administrasjonsmåte   Administrasjonsmåte :Pancuronium bromide     
Voie
Intravenøs
Intravenøs infusjon
Intramuskulær

  Mentions Légales