Laatste update :
18/03/2026
Curarimimeticum   Pancuronium bromide  
injecteerbaar geneesmiddel
Stabiliteit in oplossing Stabiliteit in mengsels Factoren die de stabiliteit beïnvloeden Verenigbaarheden Toedieningswijze Literatuur pdf
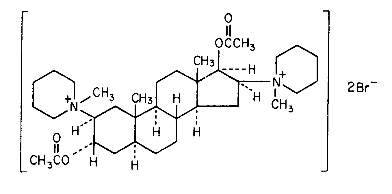
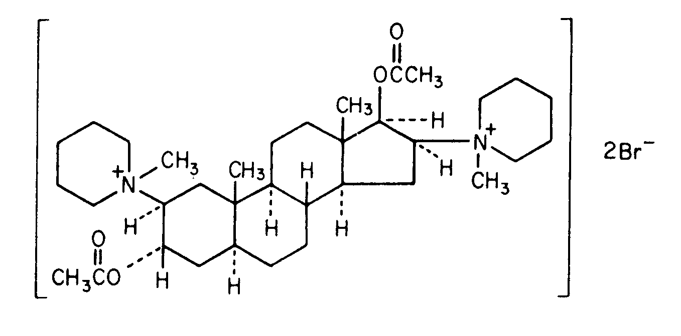
   Molecuulstructuur  

Merknamen in verschillende landen   Merknamen in verschillende landen     

Handelsnamen zijn slechts een indicatie; de samenstelling van hulpstoffen kan per land variëren afhankelijk van de fabrikant

Pancuronium bromide injection Canada, USA
Toedieningswijze   Toedieningswijze :Pancuronium bromide     
Voie
Intraveneus
Intraveneus infuus
Intramusculair

  Mentions Légales