Son güncelleme :
18/03/2026
Kurarimimetik   Pancuronium bromide  
Enjeksiyon
Çözeltilerin stabilitesi Karışımlardaki stabilitesi Stabiliteyi etkileyen faktörler Uyumluluk Uygulama yöntemi Kaynaklar pdf
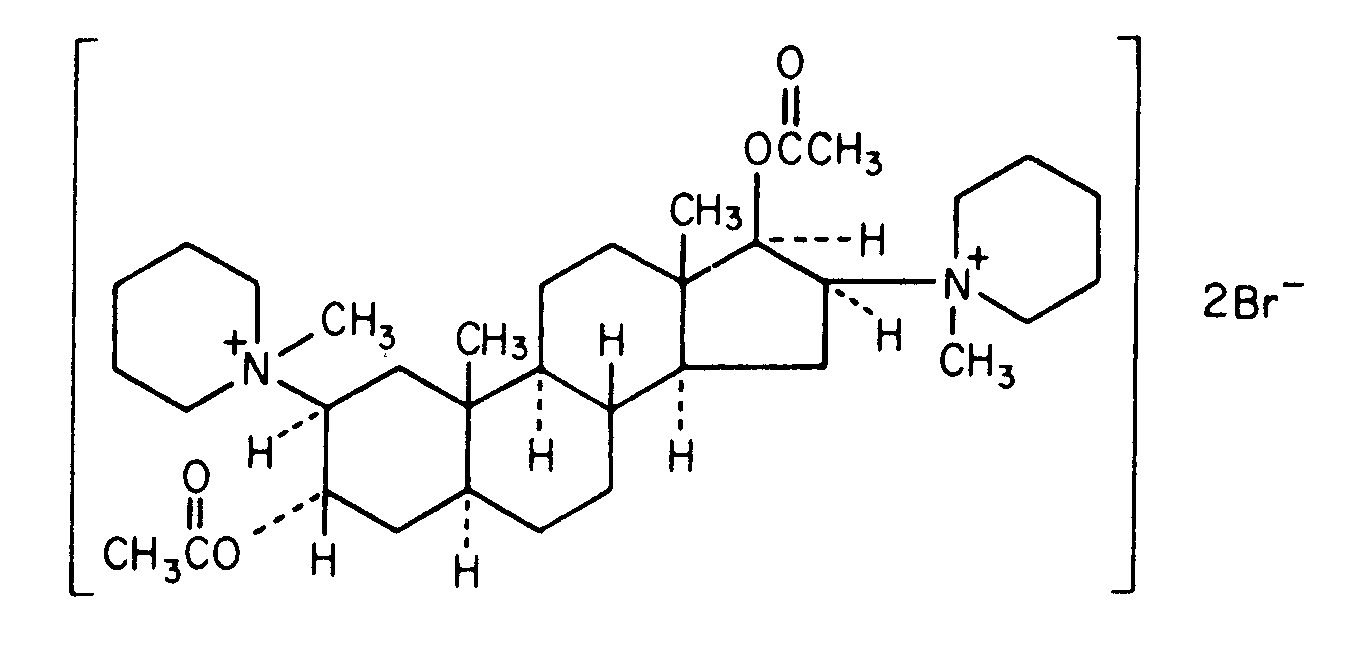
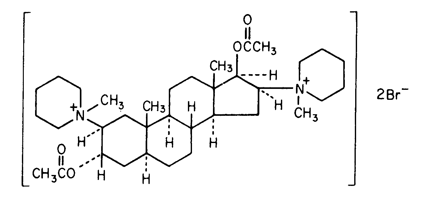
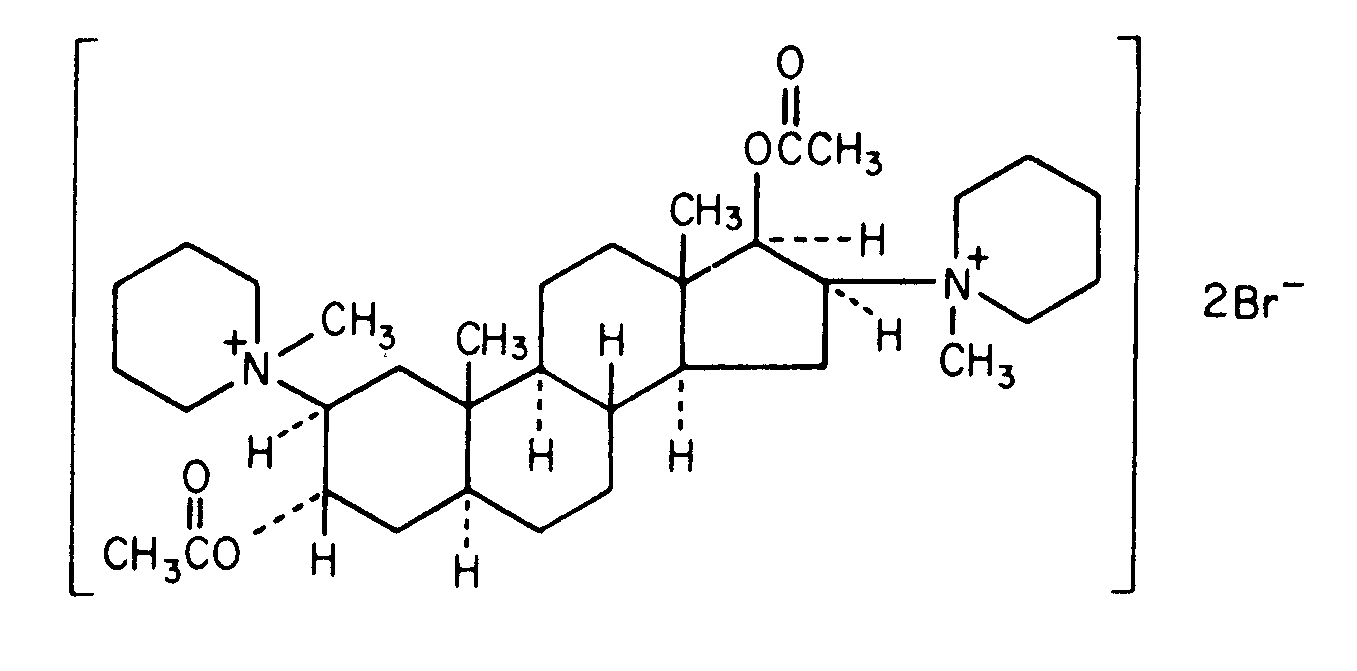
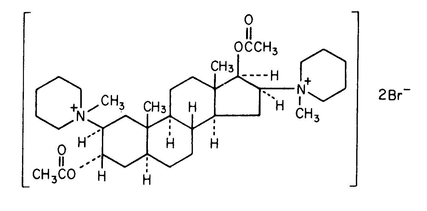
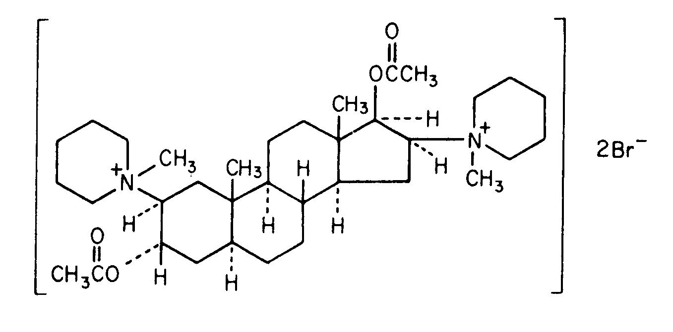
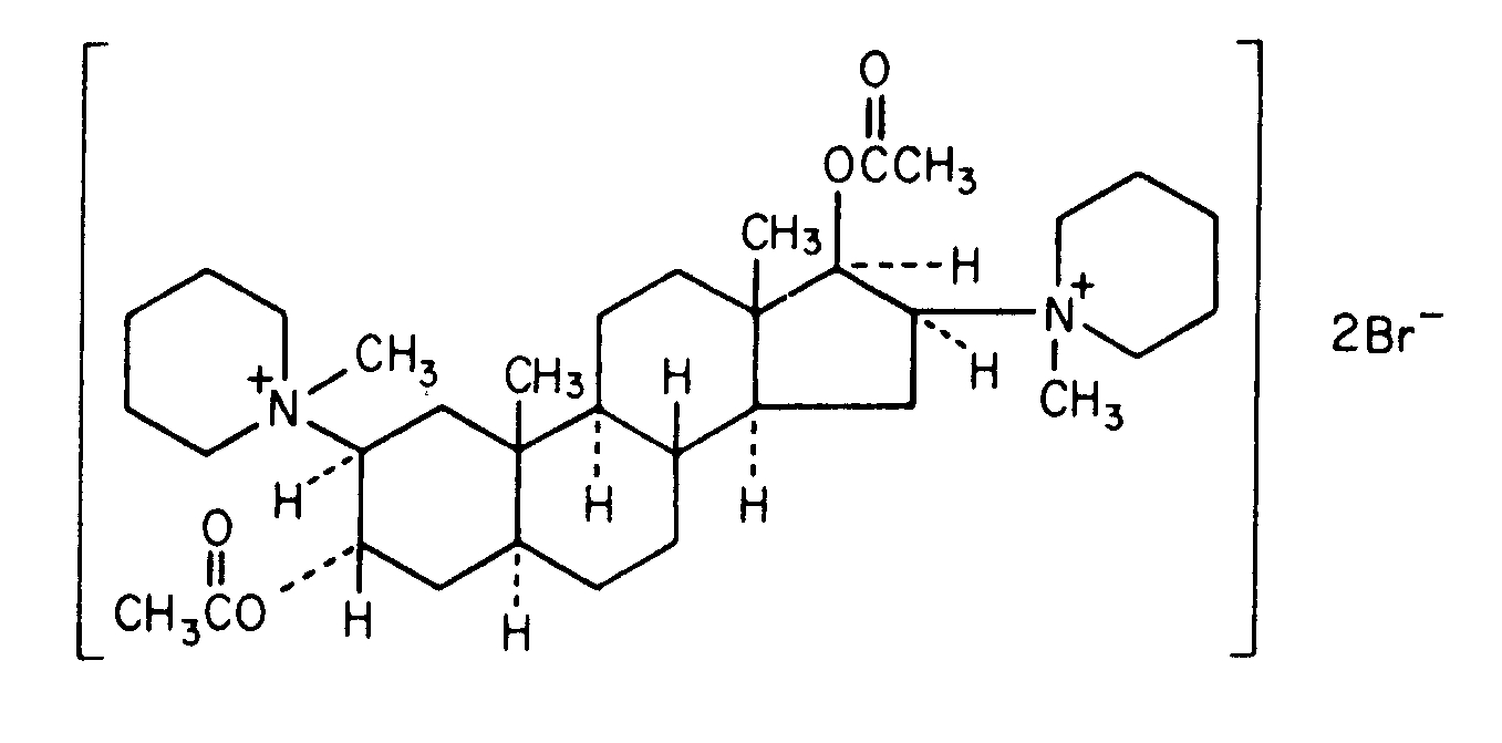
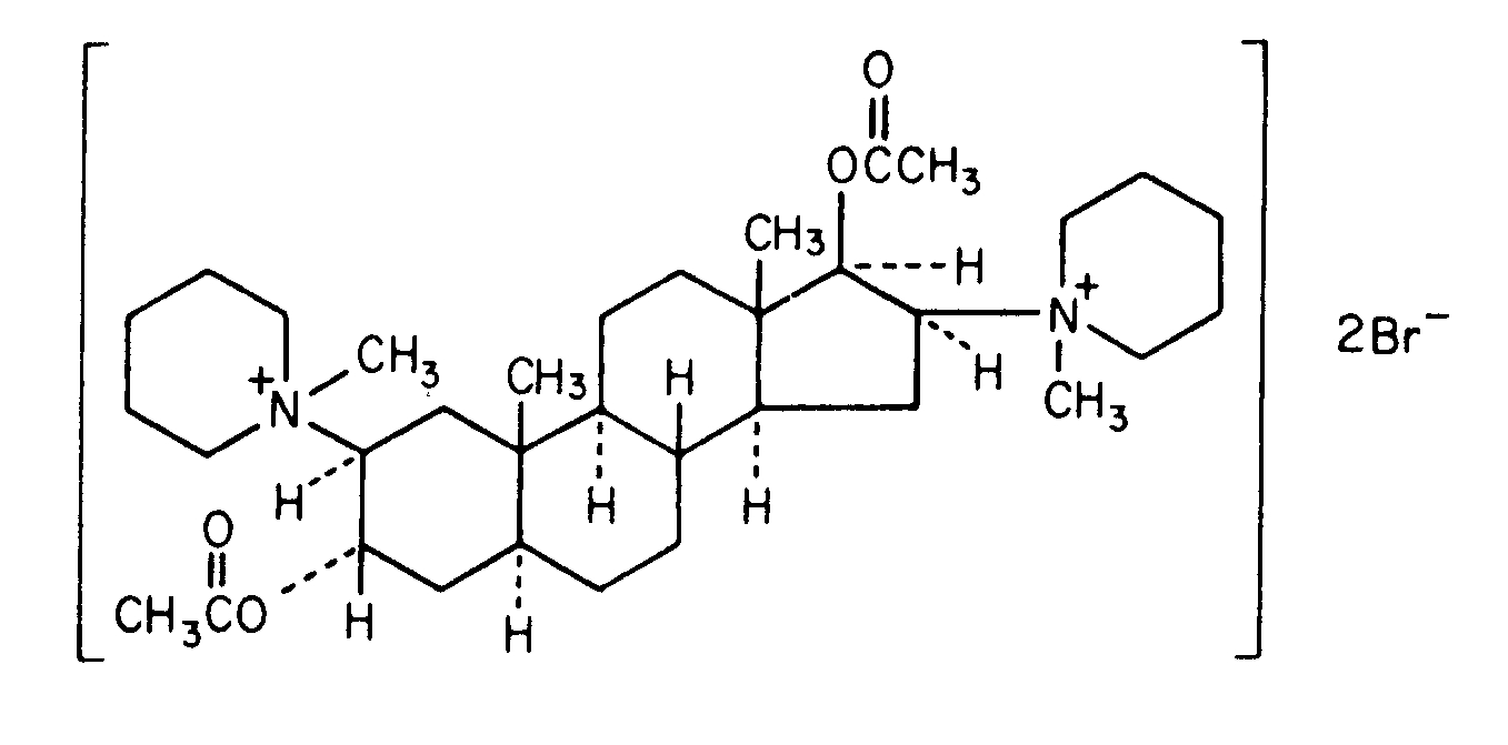
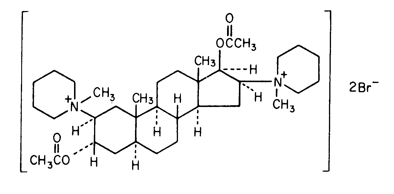
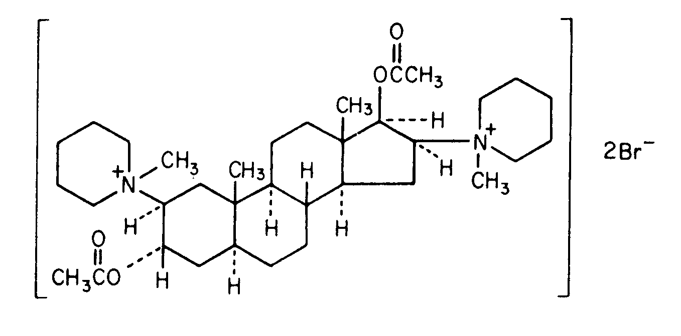
   Kimyasal yapı   

Ticari isim   Ticari isim     

Trade names are indicative and excipients composition can be different depending on the country and manufacturers

Pancuronium bromide injection Amerika Birleşik Devletleri, Kanada
Uygulama yöntemi   Uygulama yöntemi :Pancuronium bromide     
Voie
İntravenöz
İntravenöz infüzyon
İntramüsküler

  Mentions Légales