Pēdējā atjaunošana :
18/03/2026
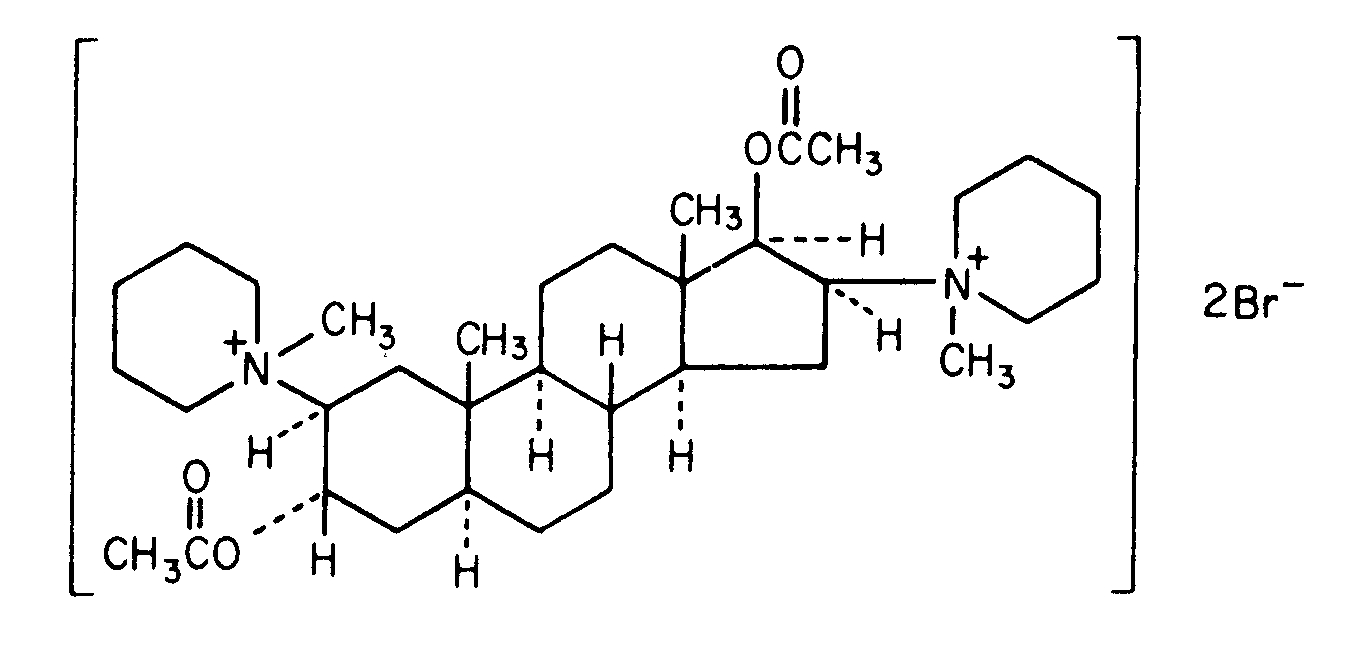
Kurarīnmimētiķis   Pancuronium bromide  
Injekcija
Šķīduma stabilitāte Maisījuma stabilitāte Stabilitāti ietekmējoši faktori Saderība Levadīšanas veids Literatūras saraksts pdf
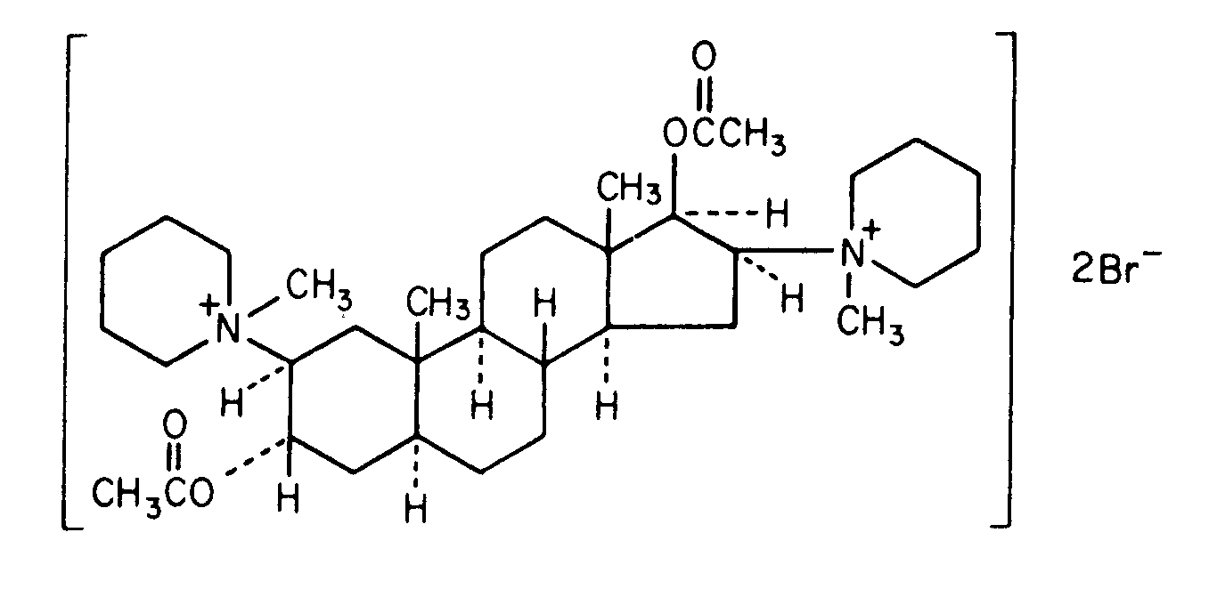
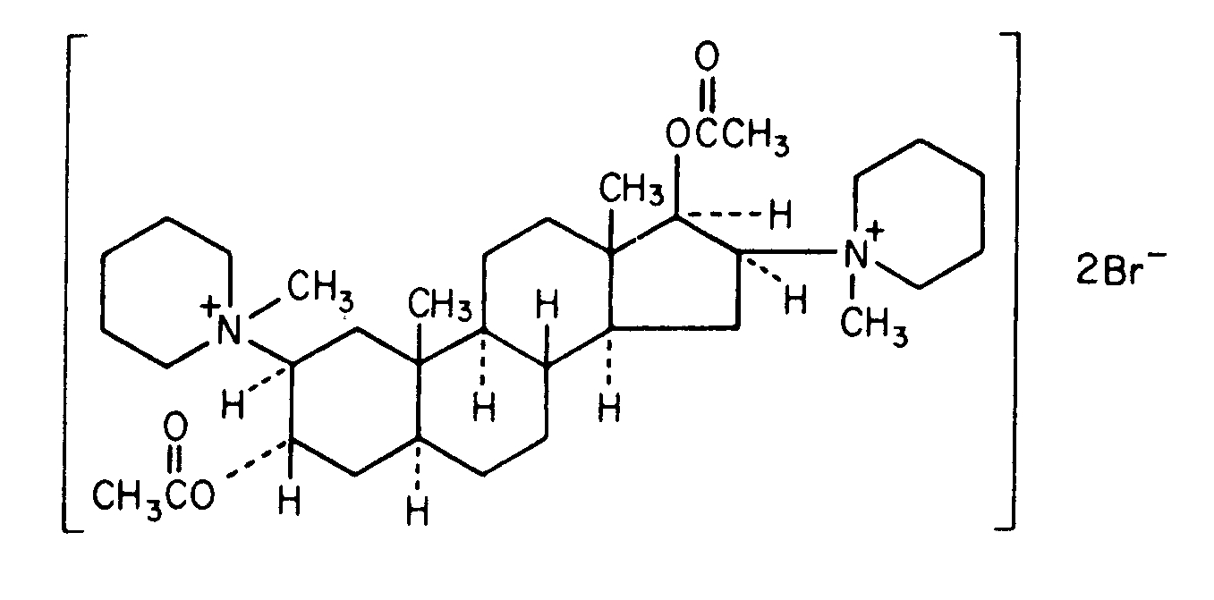
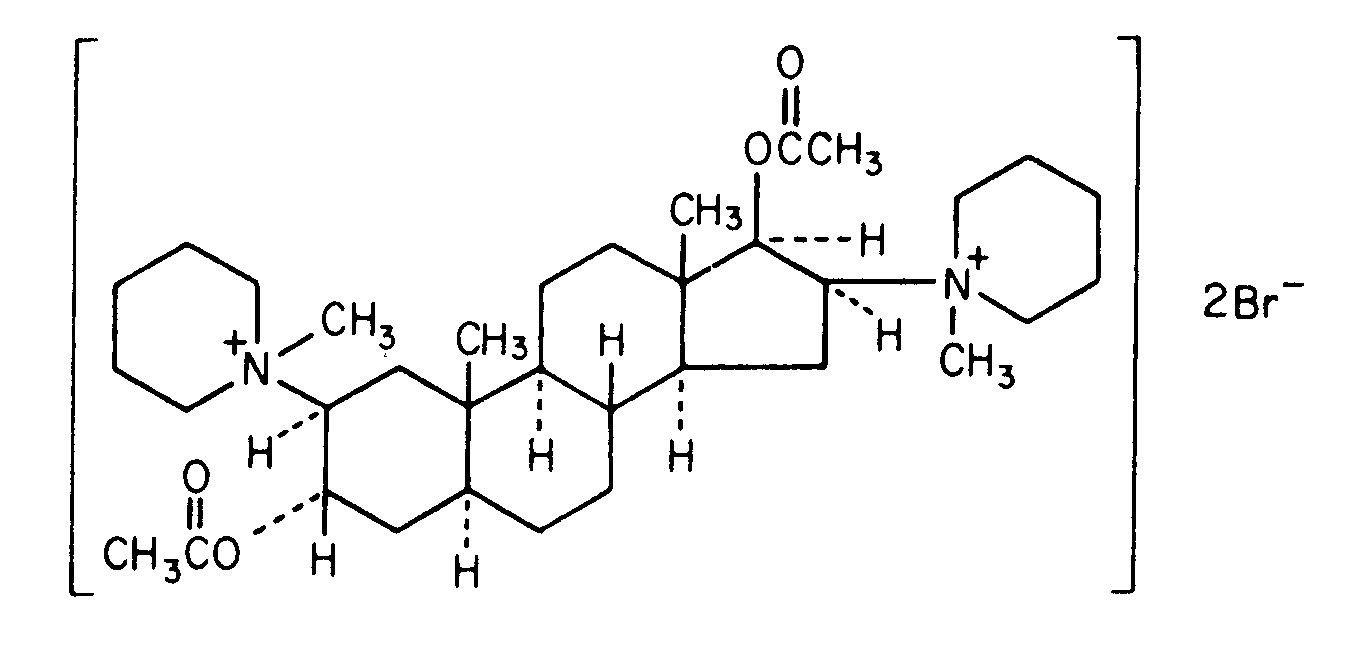
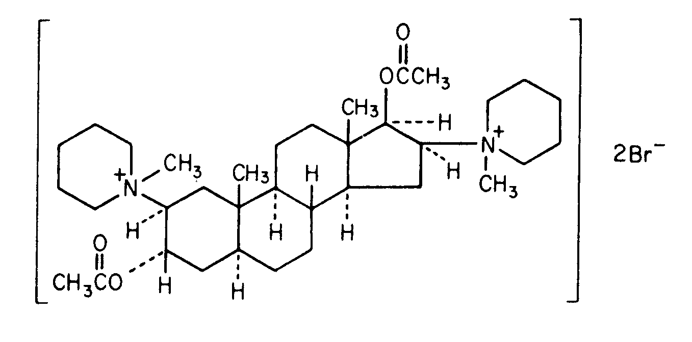
   Ķīmiskā uzbūve   

Oriģinālais nosaukums   Oriģinālais nosaukums     

Tirdzniecības nosaukumi ir apzīmējoši un palīgvielas var atšķirties dažādām valstīm un laboratorijām

Pancuronium bromide injection Amerikas Savienotās Valstis, Kanāda
Levadīšanas veids   Levadīšanas veids :Pancuronium bromide     
Voie
Intravenozi
Intravenoza infūzija
Intramuskulāri

  Mentions Légales