Ultimele actualizari :
18/03/2026
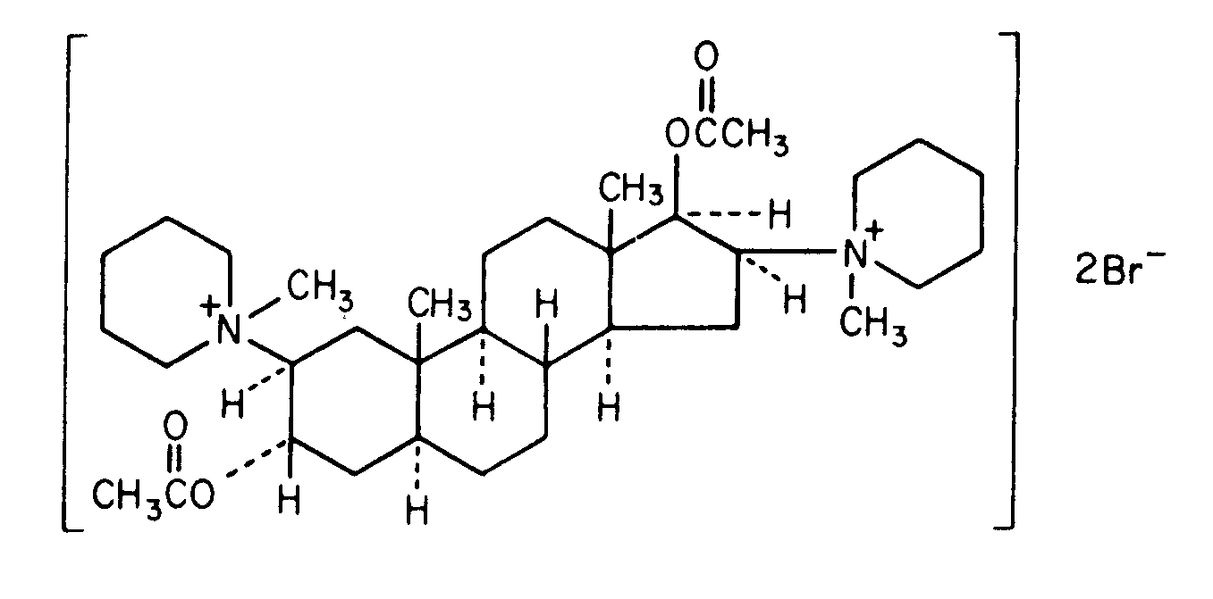
Curarizant   Pancuronium bromide  
Injectabil
Stabilitatea in solutie Stabilitatea in amestec Factorii care influenteaza stabilitatea Compatibilitate Microunde Bibliografie pdf
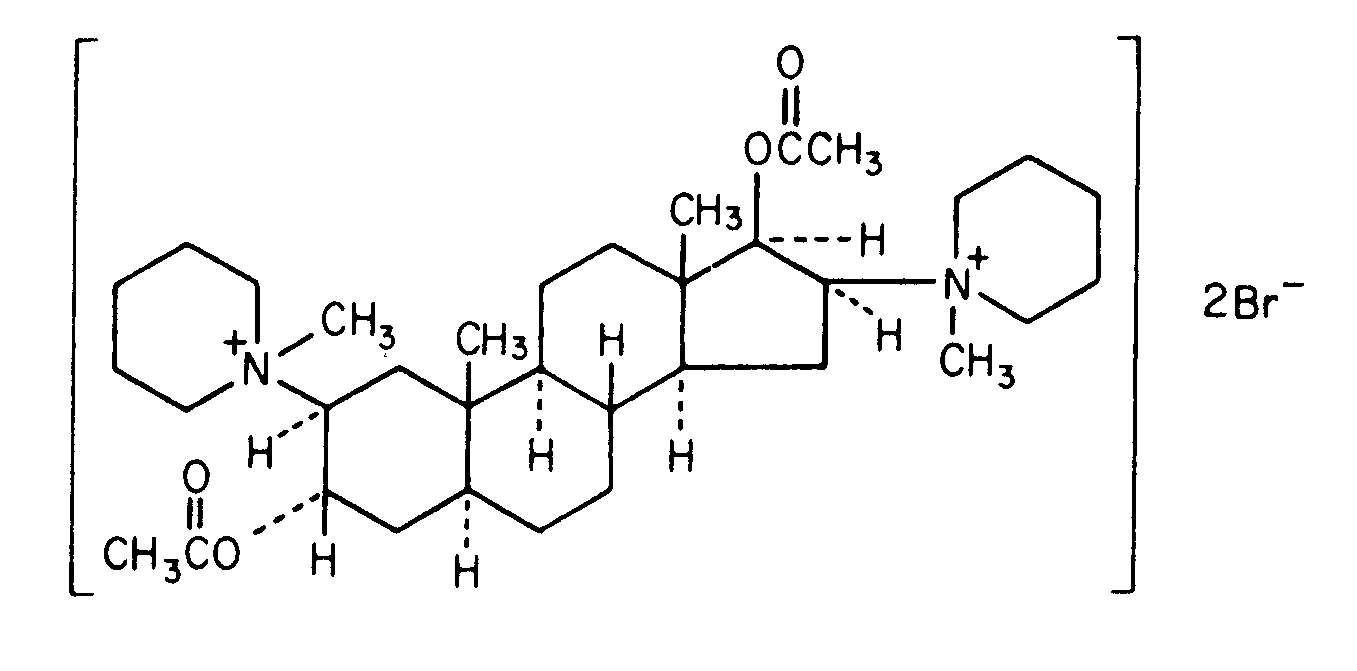
   Formula chimica  

Denumirea comerciala   Denumirea comerciala     

Trade names are indicative and excipients composition can be different depending on the country and manufacturers

Pancuronium bromide injection Canada, SUA
Microunde   Microunde :Pancuronium bromide     
Voie
Intravenos
Perfuzie intravenoasa
Intra-muscular

  Mentions Légales