Utolsó frissítés :
18/03/2026
Izombénító   Pancuronium bromide  
Injekció
Az oldatok stabilitása A keverékek stabilitása Stabilitást befolyásoló tényezők Kompatibilitás Az alkalmazás módja Irodalom pdf
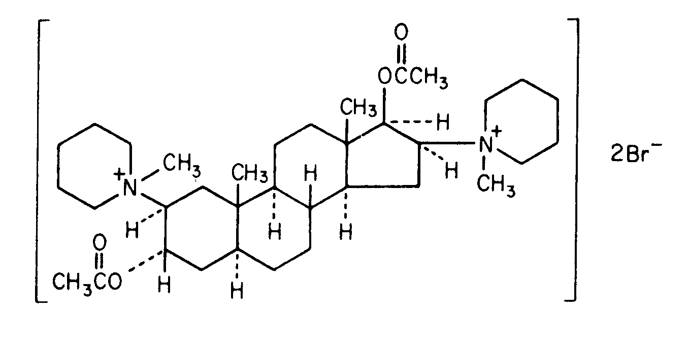
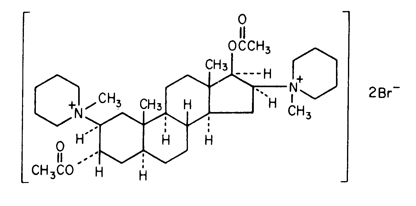
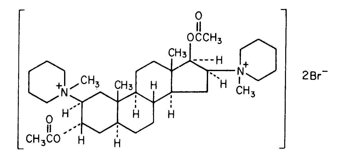
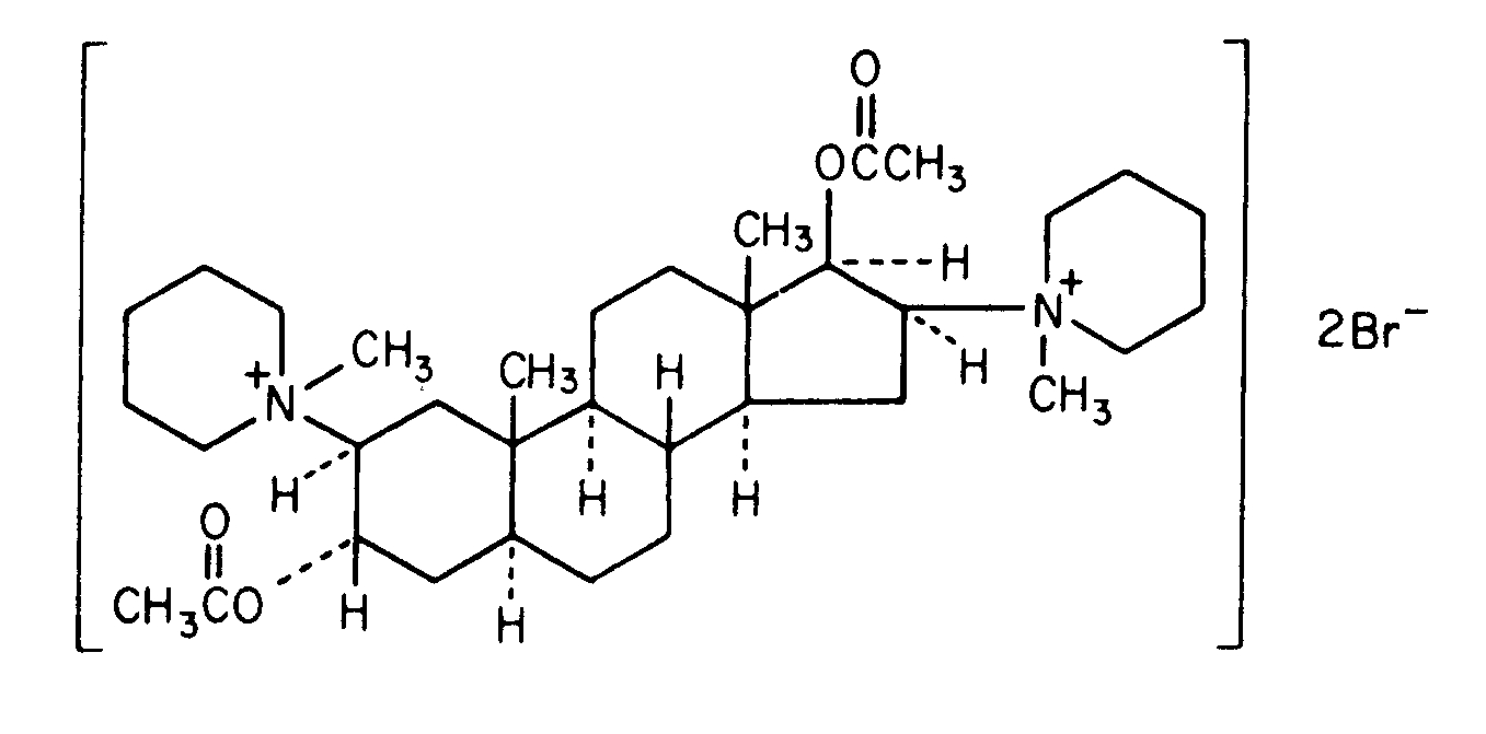
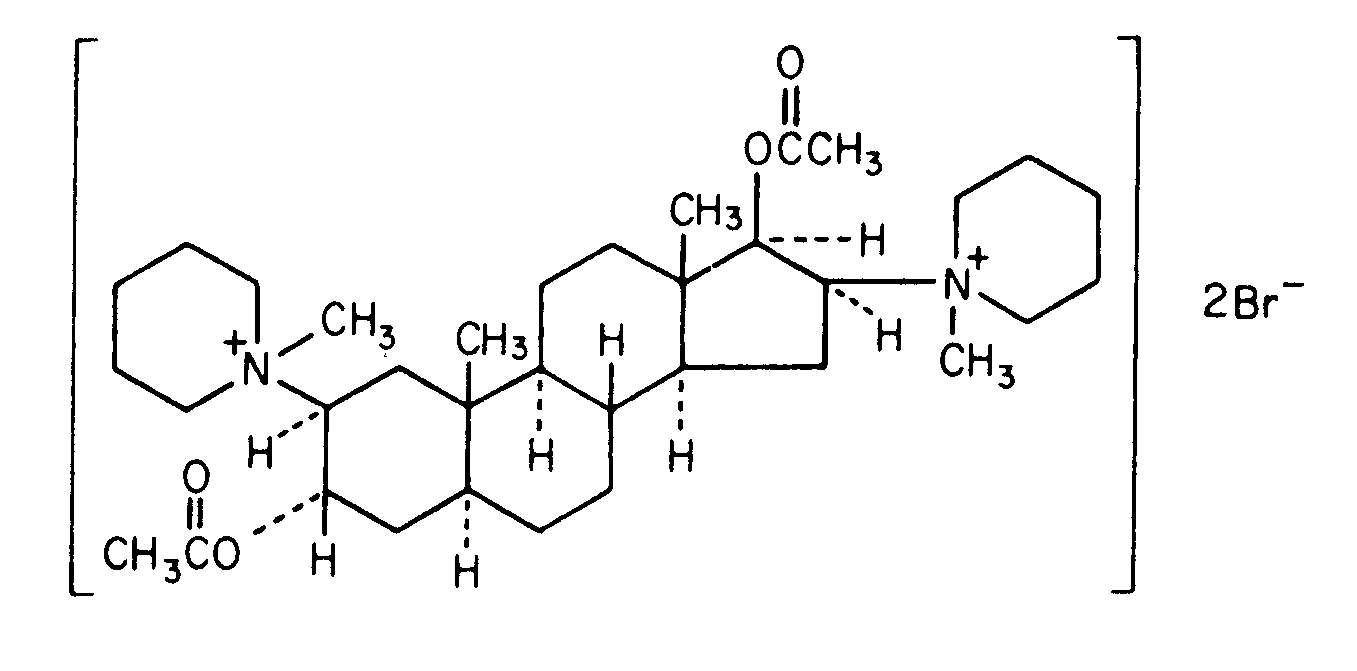
   Kémiai szerkezet   

Kereskedelmi név   Kereskedelmi név     

A kereskedelmi név meghatározó jelentőségű: a készítmények összetétele országonként, előállítóként eltérő lehet

Pancuronium bromide injection Amerikai Egyesült Államok, Kanada
Az alkalmazás módja   Az alkalmazás módja :Pancuronium bromide     
Voie
Intravénás
Intravénás infúzió
Intramuszkuláris

  Mentions Légales