Ultimo aggiornamento :
18/03/2026
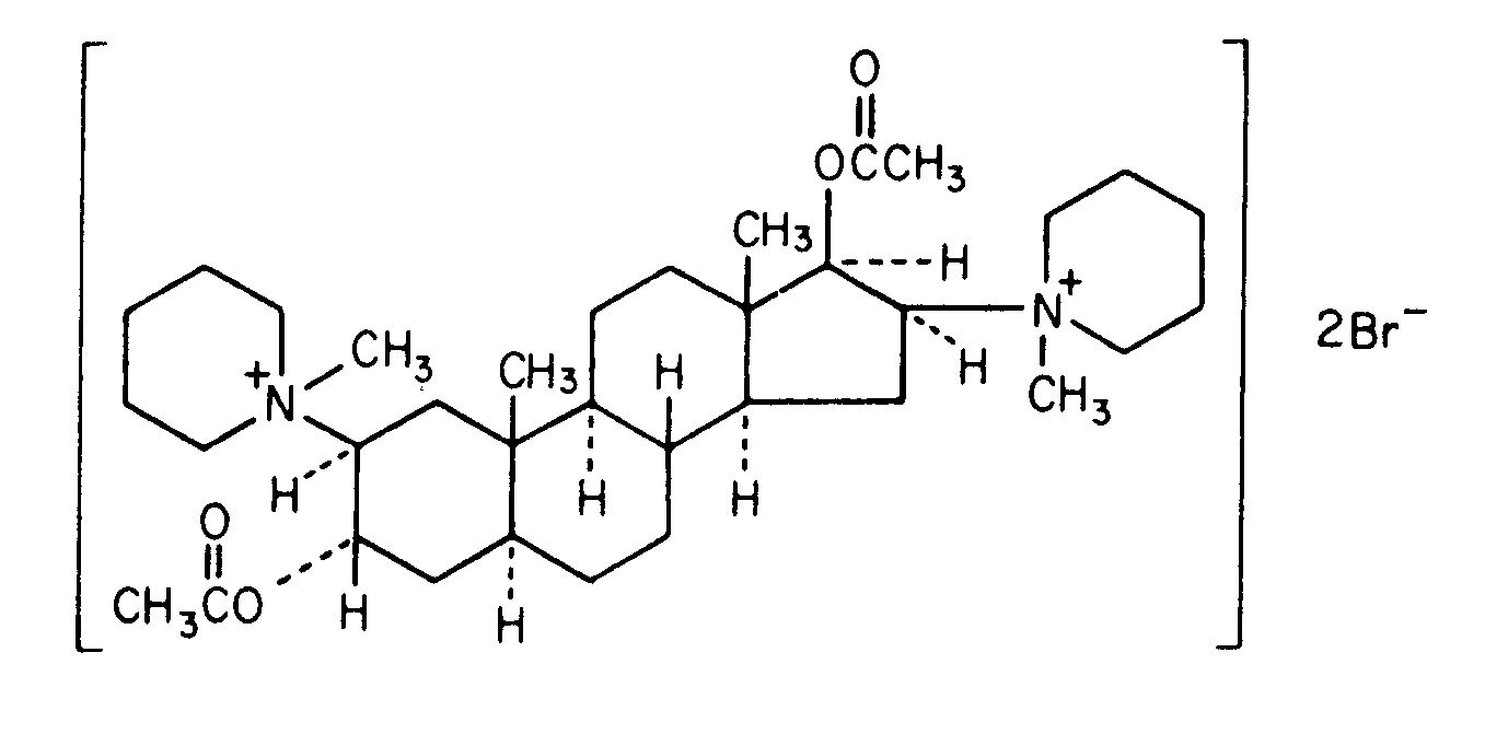
Curarizzante   Pancuronium bromide  
Iniezione
Stabilità in soluzione Stabilità in miscela Fattori che influenzano la stabilità Compatibilità metodo di iniezione Bibliografia pdf
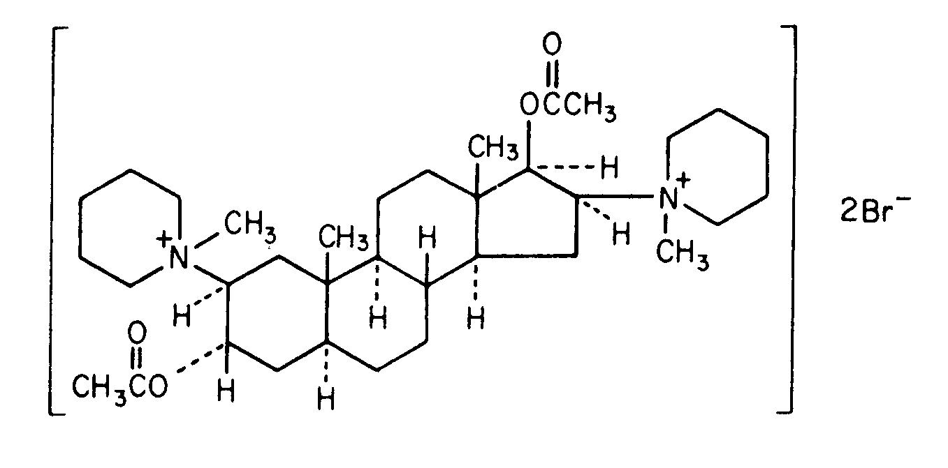
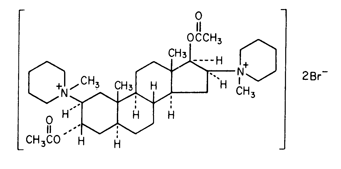
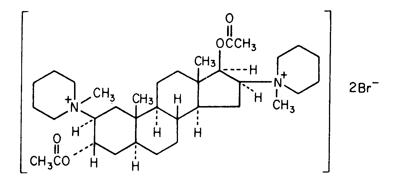
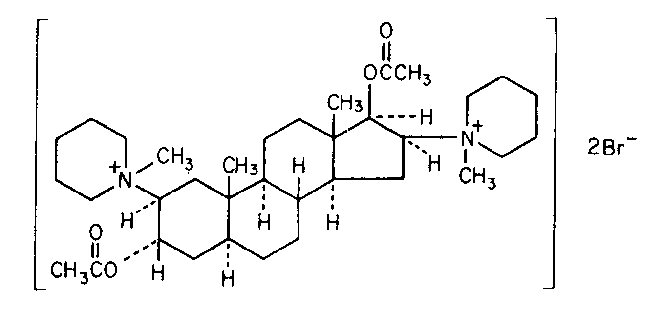
   Struttura chimica  

Nome commerciale   Nome commerciale     

Trade names are indicative and excipients composition can be different depending on the country and manufacturers

Pancuronium bromide injection Canada, Stati Uniti d’America
metodo di iniezione   metodo di iniezione :Pancuronium bromide     
Voie
Endovenosa
Flebo endovenosa
Intramuscolare

  Mentions Légales