Последнее обновление :
27/11/2025
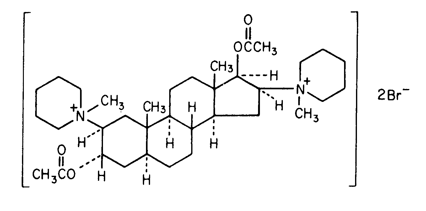
Кураримиметик   Pancuronium bromide  
Инъекция
Стабильность растворов Стабильность смесей Факторы, которые влияют на стабильность Совместимость Способы введения Библиография pdf
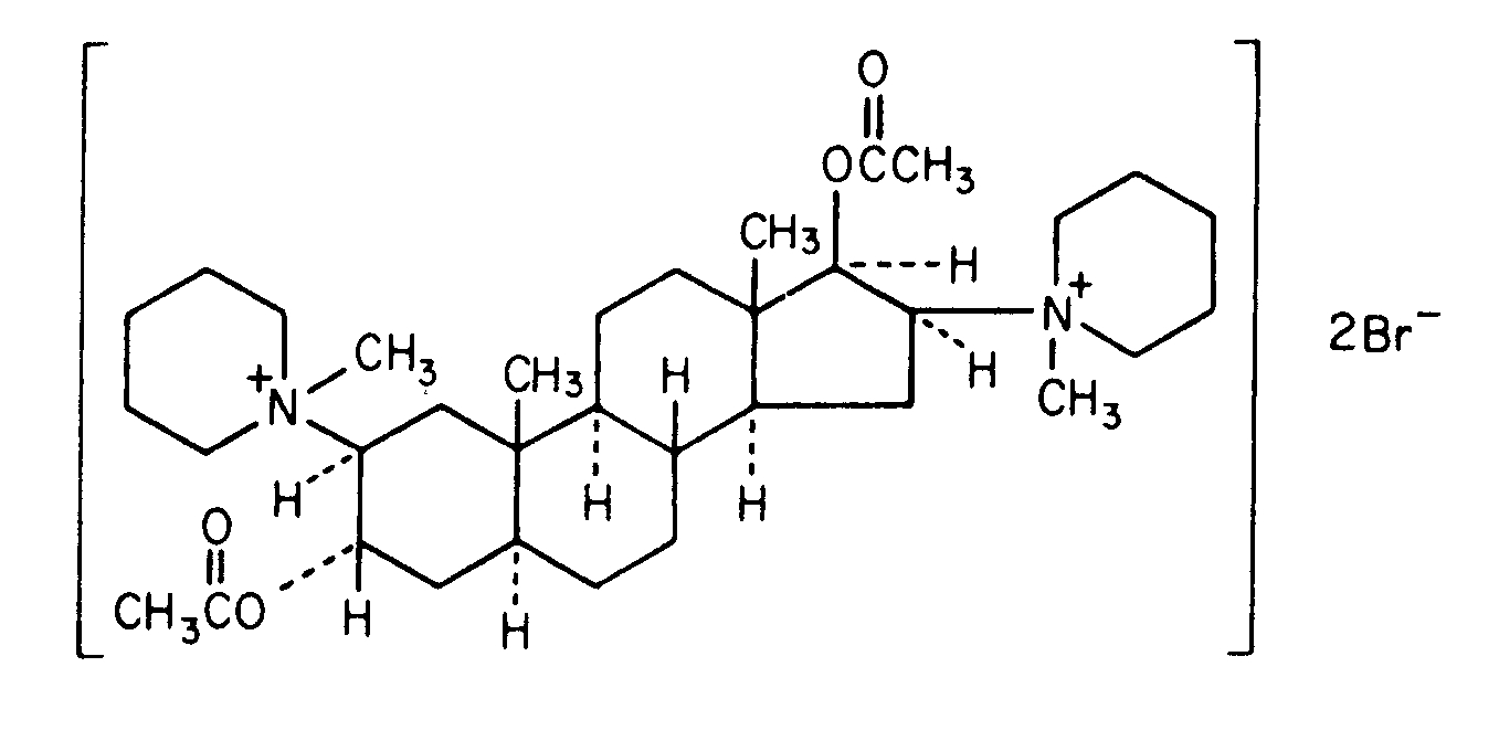
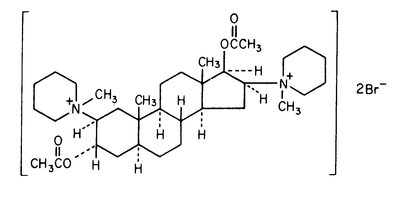
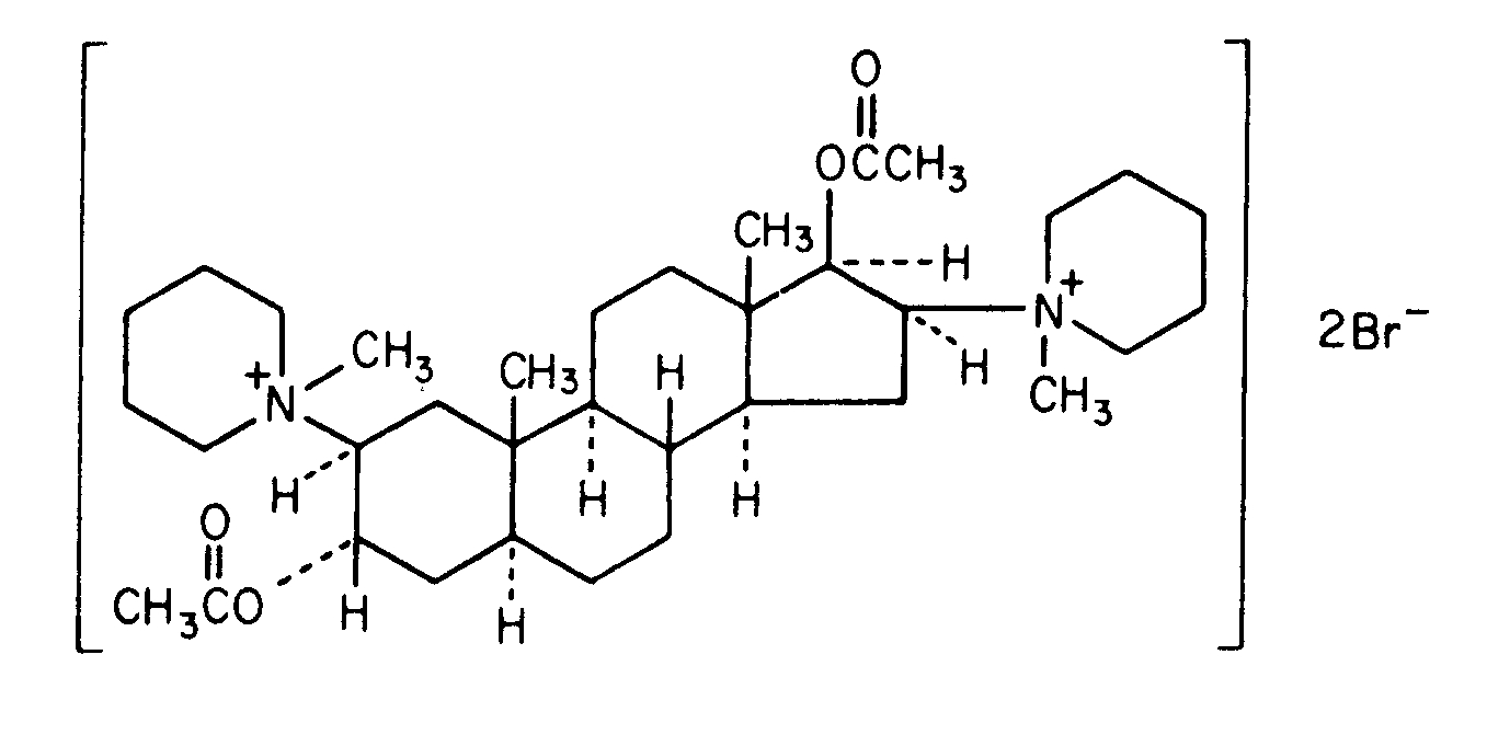
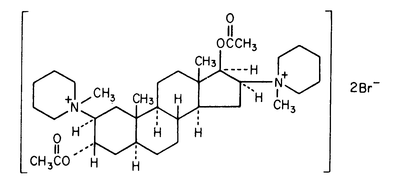
   Химическая структура  

Товарное название   Товарное название     

Trade names are indicative and excipients composition can be different depending on the country and manufacturers

Pancuronium bromide injection Канада, Соединённые Штаты Америки
Способы введения   Способы введения :Pancuronium bromide     
Voie
Интравенный, внутривенный
Интравенная, внутривенная инфузия
Внутримышечный

  Mentions Légales