Última actualização :
18/03/2026
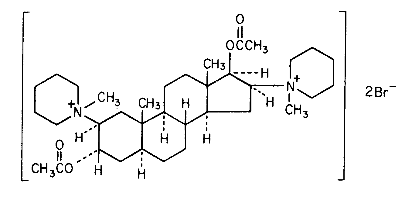
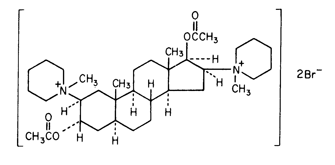
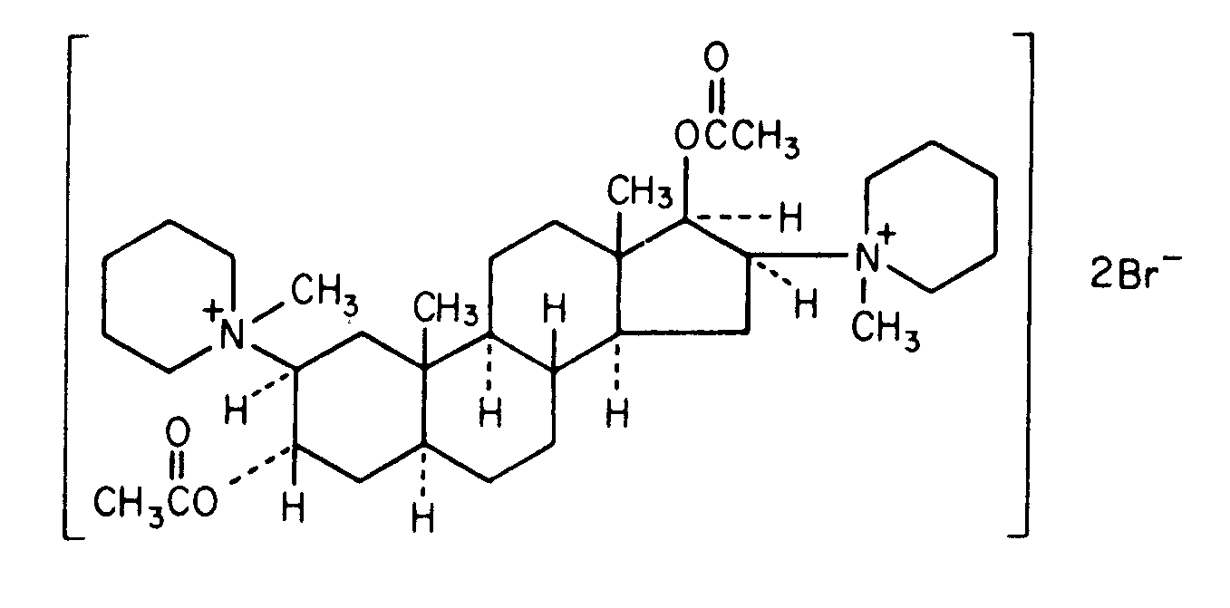
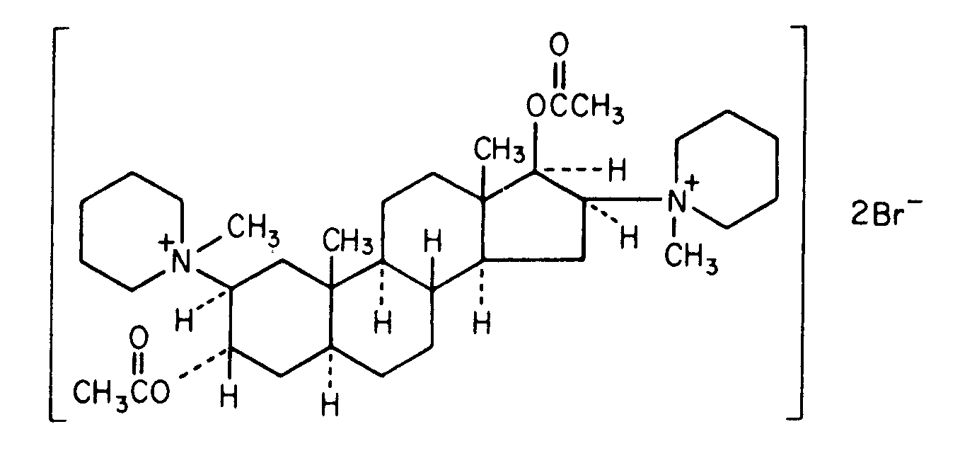
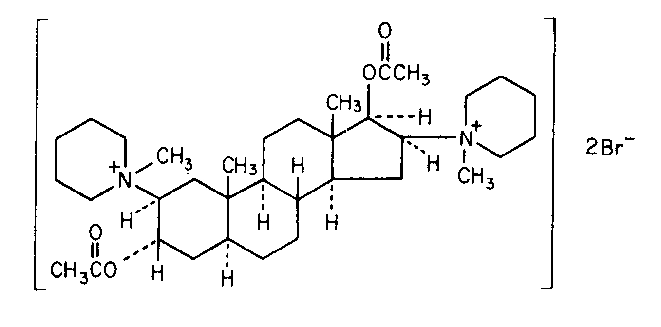
Curarizante   Pancuronium bromide  
injetável
Estabilidade em soluções simples Estabilidade em misturas Factores que afectam a sua estabilidade Compatibilidade Método de administração Bibliografía pdf
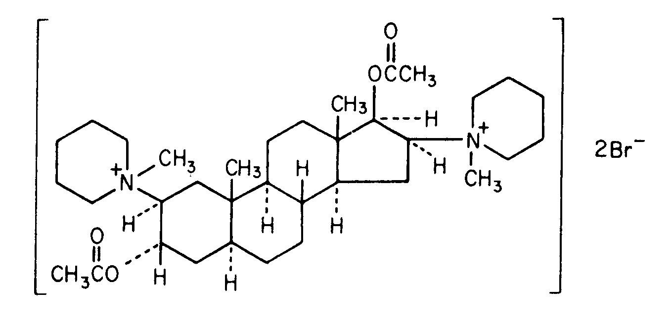
   estrutura química  

Nomes comerciais nos diversos países   Nomes comerciais nos diversos países     

OS NOMES COMERCIAIS SÃO INDICATIVOS E OS EXCIPIENTES DA FORMULAÇÃO PODEM SER DIFERENTES CONFORME O PAÍS E FABRICANTE.

Pancuronium bromide injection Canadá, Estados Unidos de América
Método de administração   Método de administração :Pancuronium bromide     
Voie
intravenoso
perfusão intravenosa
intramuscular

  Mentions Légales