Последно актуализиране :
18/03/2026
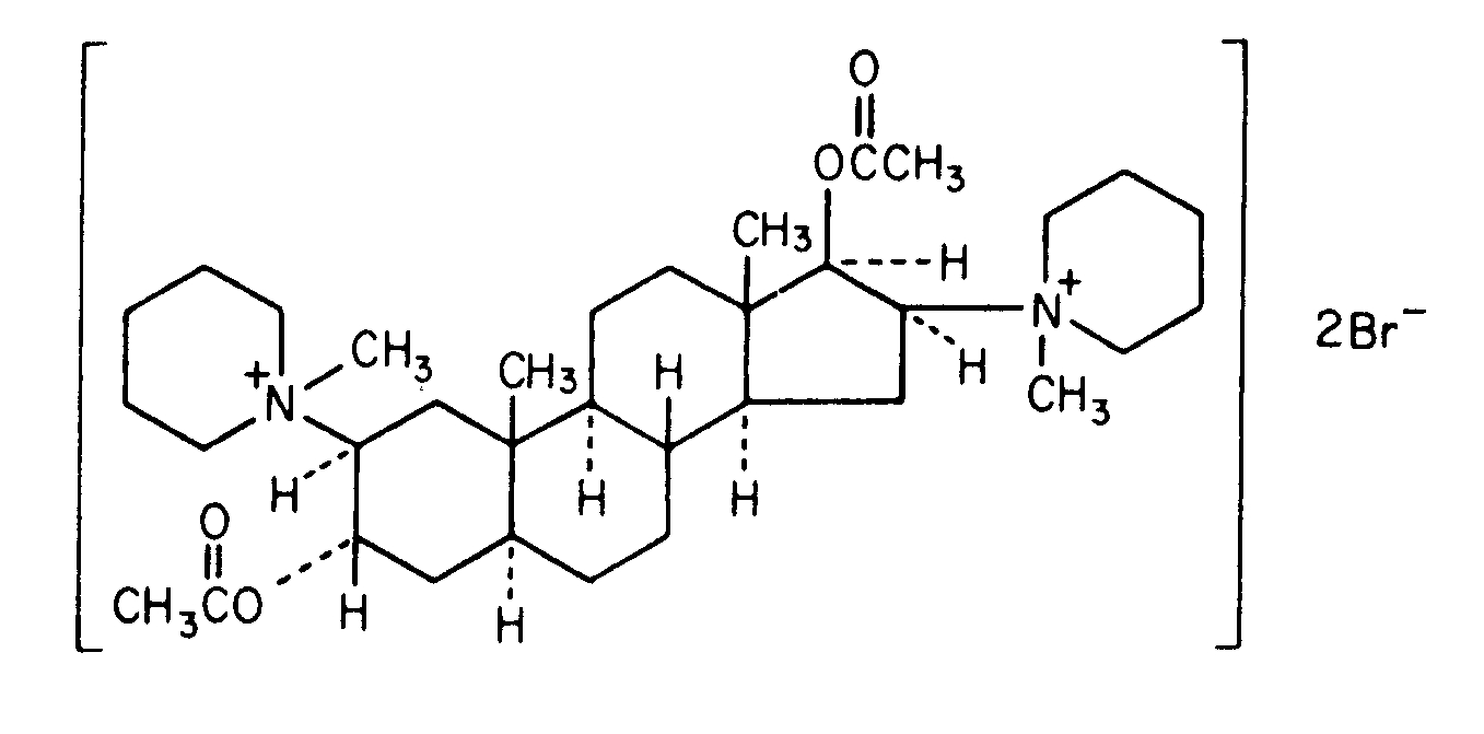
Кураре-миметик   Pancuronium bromide  
Инжекция/Инжекционен
Стабилност на разтвори Стабилност на смеси Фактори, повлияващи стабилността Съвместимост Път на въвеждане Библиография Pdf
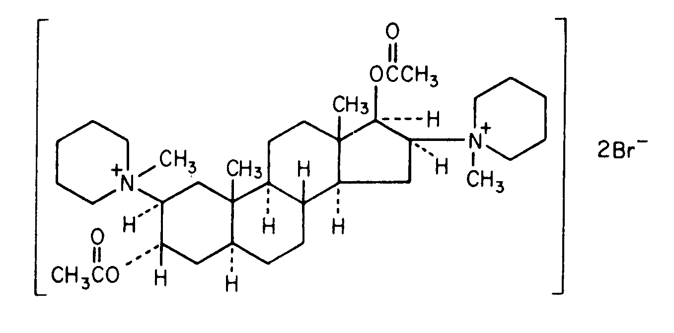
   Химична структура  

Търговско наименование   Търговско наименование     

Търговските имена са примерни и съставът на помощните вещества може да бъде различен в зависимост от държавата и лабораториите

Pancuronium bromide injection Канада, Съединени Американски щати / САЩ
Път на въвеждане   Път на въвеждане :Pancuronium bromide     
Voie
Интравенозно
Интравенозна инфузия
Интрамускулно

  Mentions Légales