Posledná aktualizácia :
27/11/2025
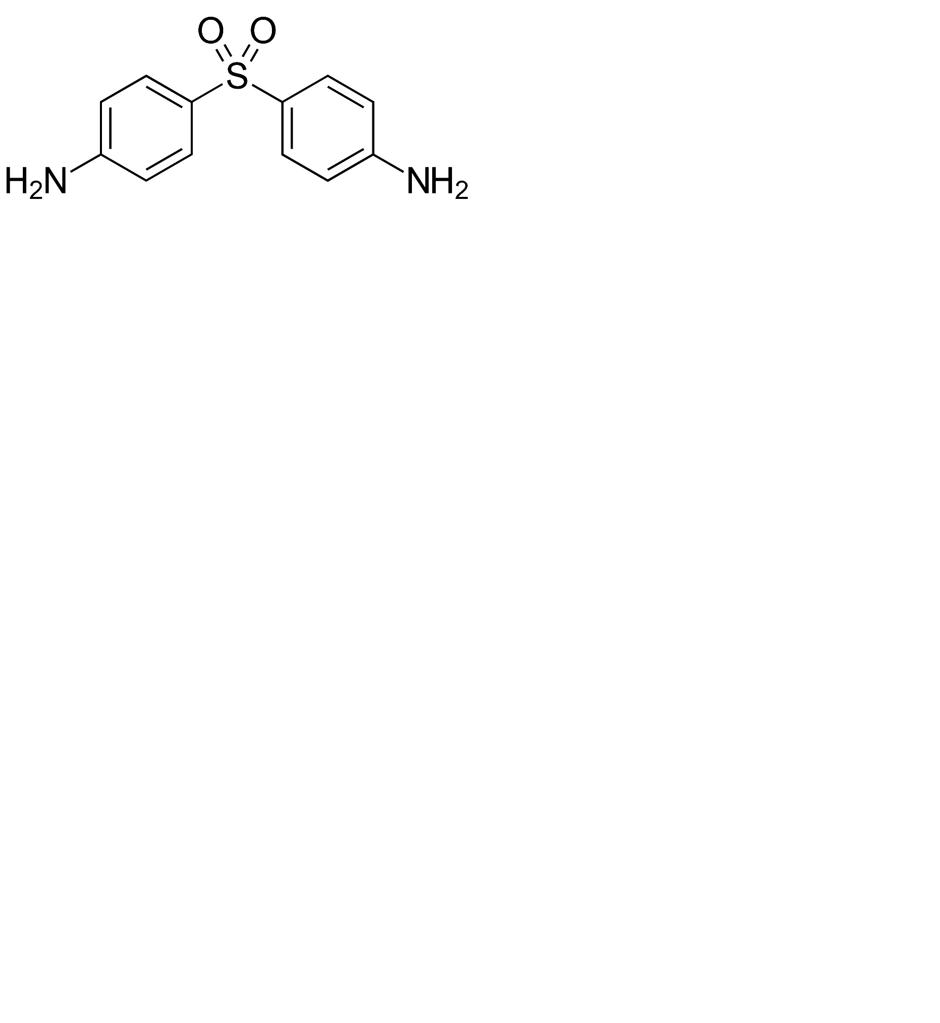
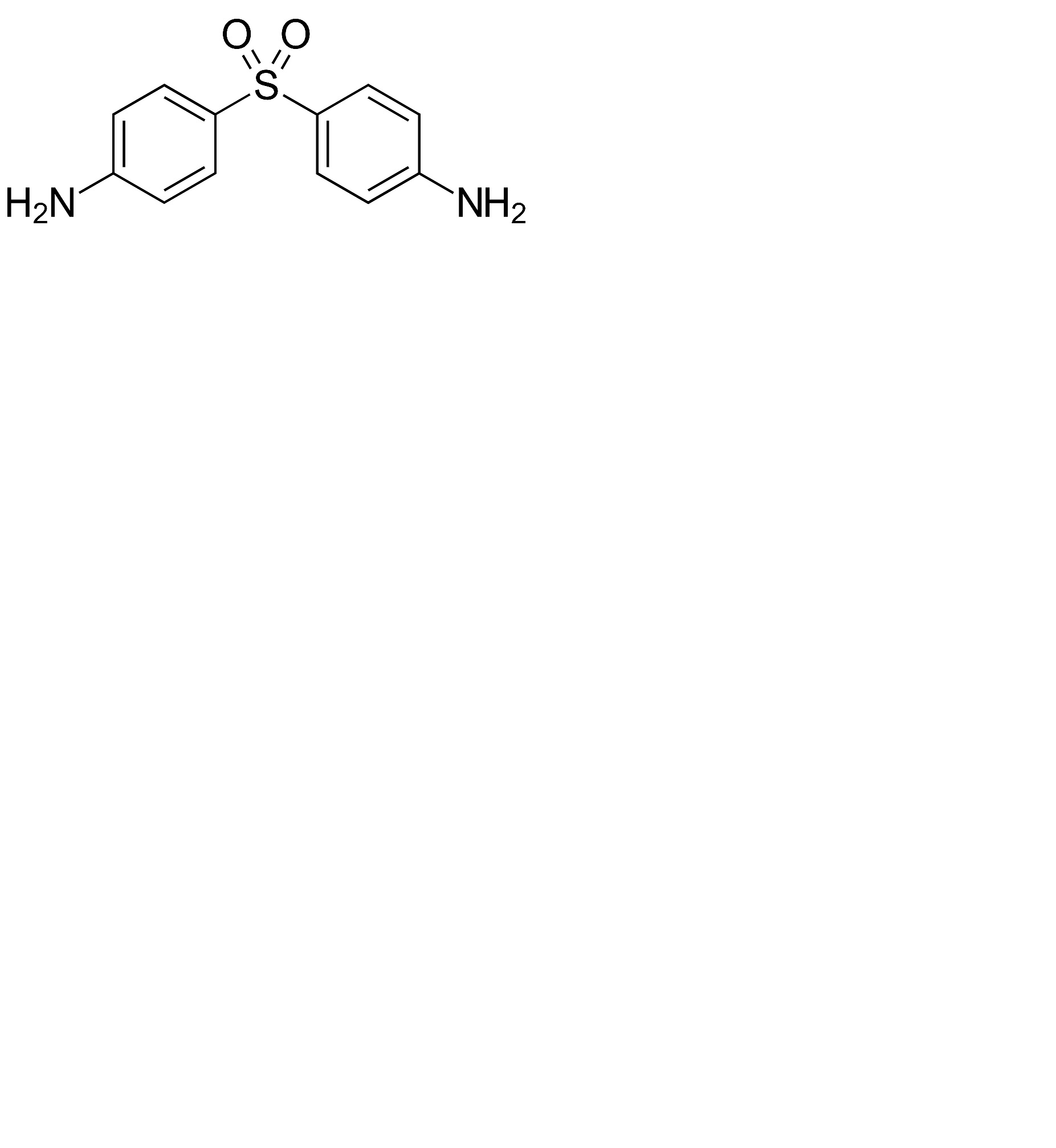
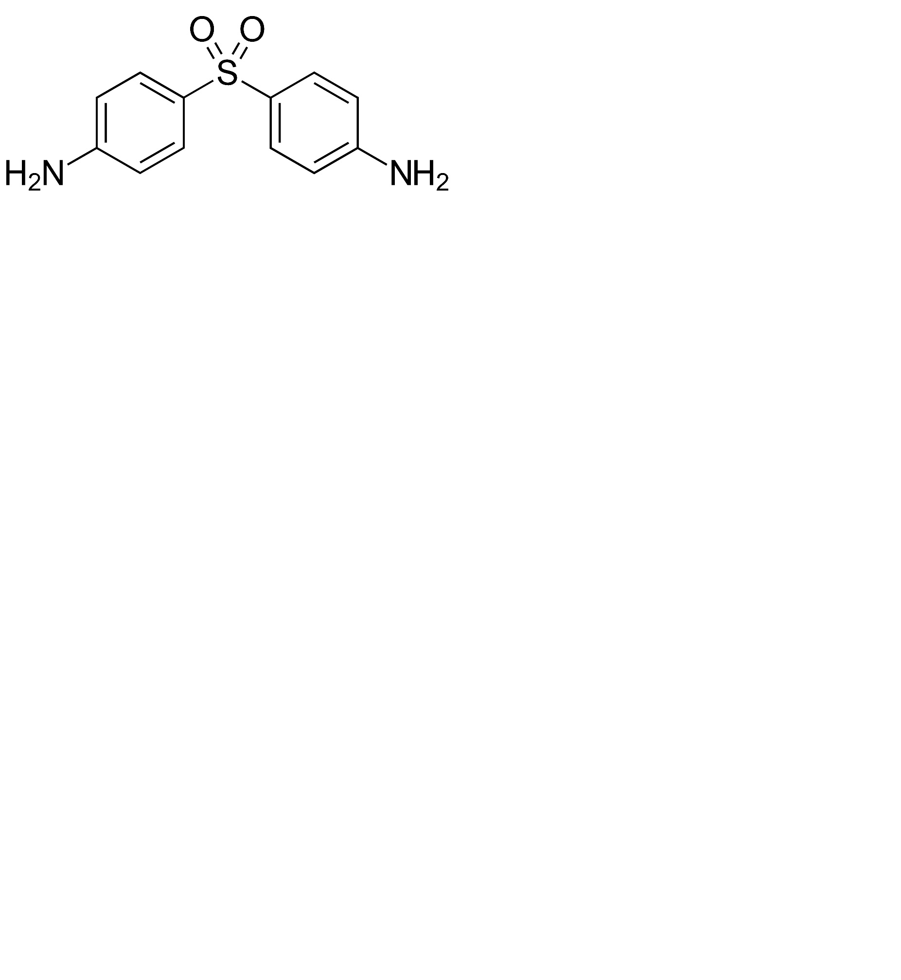
antibiotikum   Dapsone  
Dermálny prípravok
Perorálny roztok
Stabilita farmaceutických prípravkov Stabilita v zmesiach Faktory ovplyvňujúce stabilitu Kompatibility Odkazy na literatúru PDF
   Chemický vzorec  

Dermálny prípravok
Stabilita v zmesiach   Dermálny prípravok   Stabilita v zmesiach : Dapsone     
žiadne údaje

  Mentions Légales