Zadnji put ažurirano :
27/11/2025
antibiotik   Dapsone  
masti
oralna otopina
Stabilnost farmaceutskih pripravaka Stabilnost mješavine Stabilizacijski faktor Kompatibilnosti Bibliografija pdf
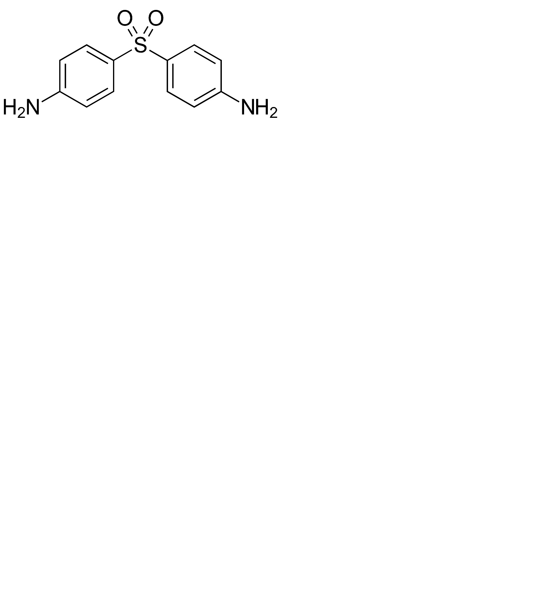
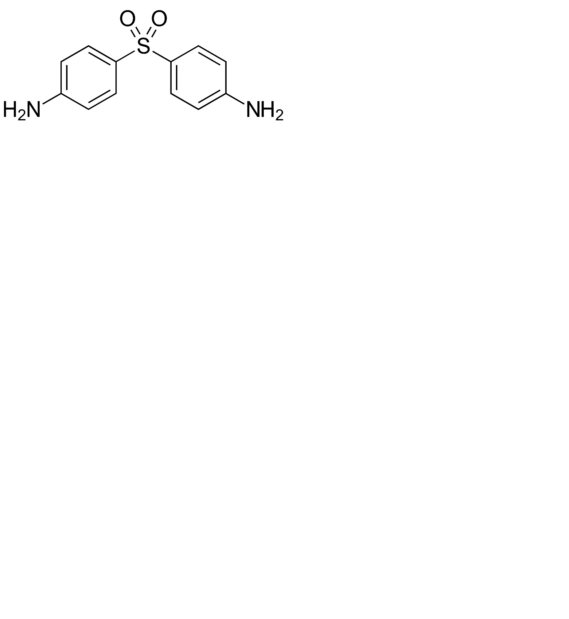
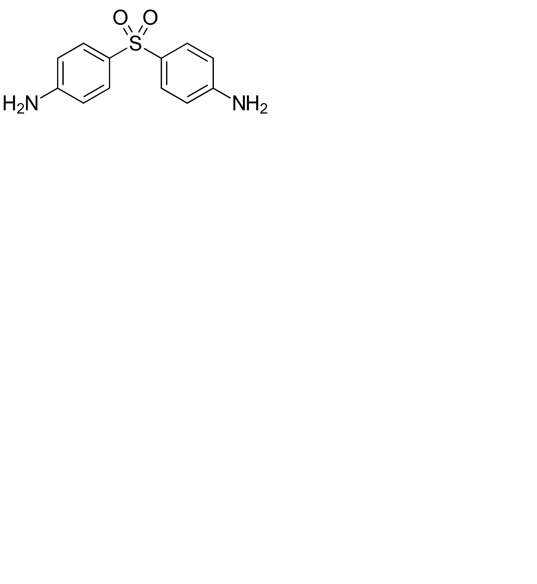
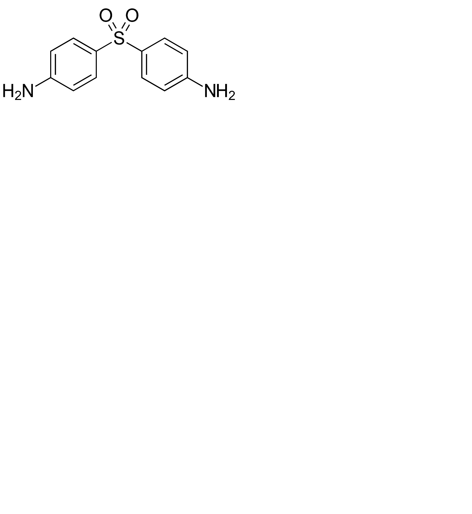
   Kemijska struktura  

masti
Stabilnost mješavine   masti   Stabilnost mješavine : Dapsone     
bez podataka

  Mentions Légales