viimane versioon :
18/03/2026
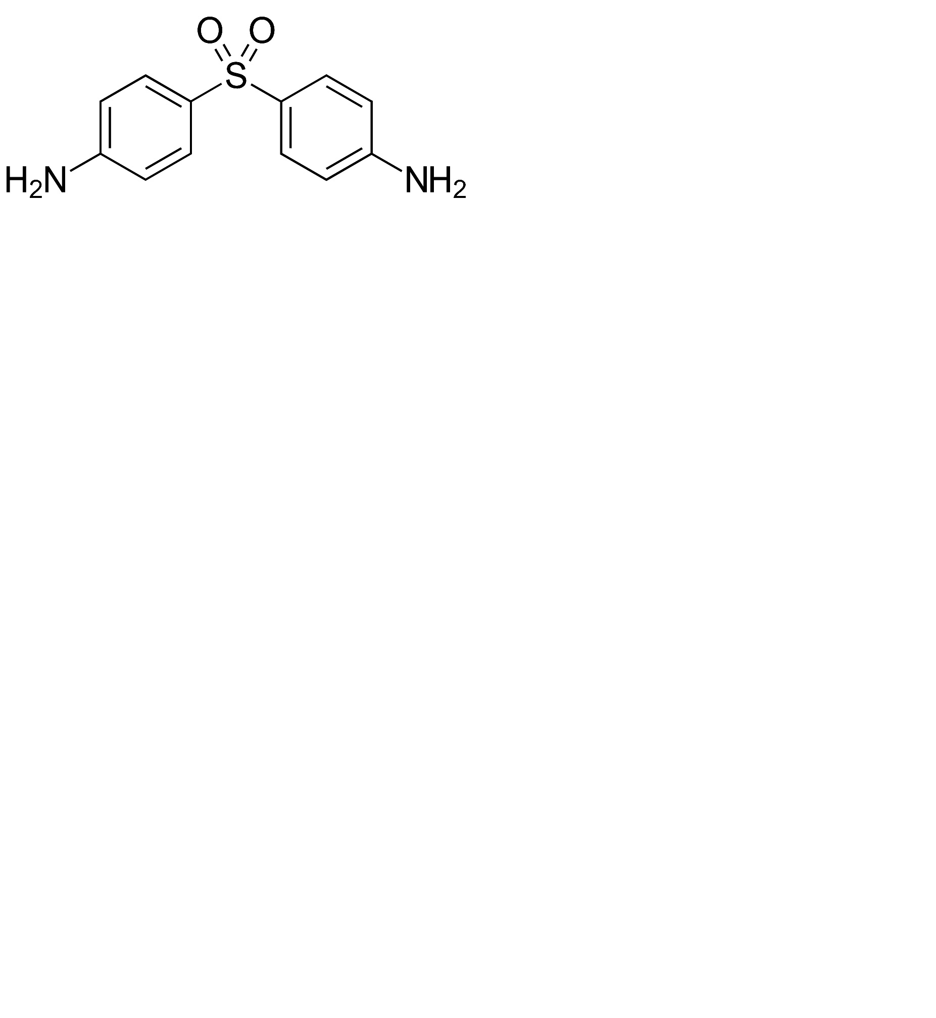
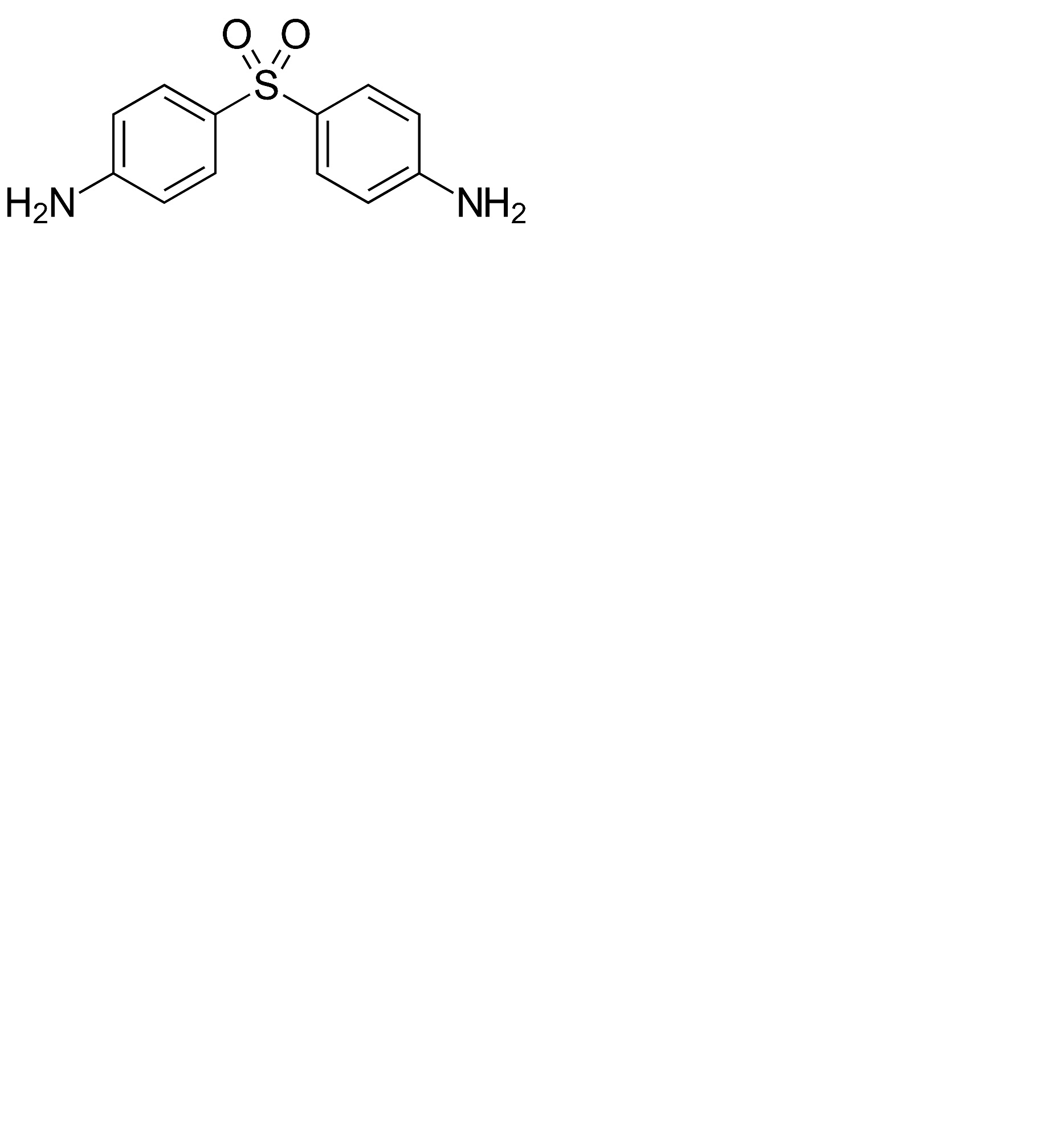
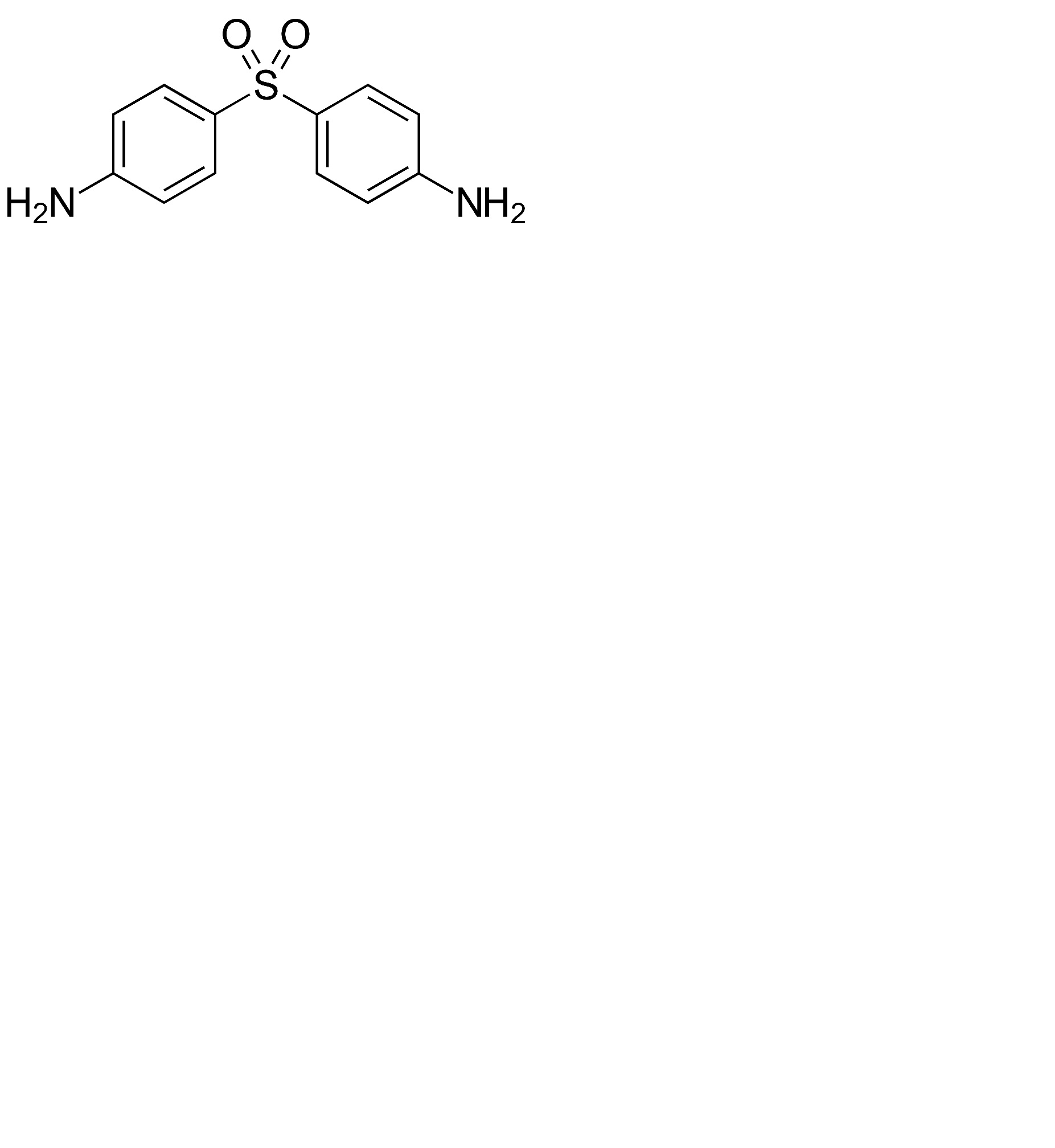
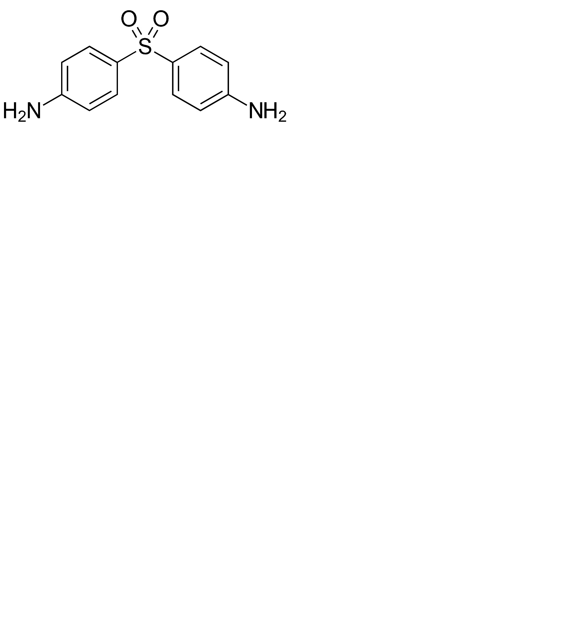
antibiootikum   Dapsone  
salv
suukaudne lahus
Stabiilsust ravimpreparaadid Stabiilsust mõjutavad tegurid stabiilsust mõjutavad faktorid Sobimatus Viited pdf
   keemiline struktuur  

salv
Stabiilsust mõjutavad tegurid   salv   Stabiilsust mõjutavad tegurid : Dapsone     
andmed puuduvad

  Mentions Légales