Ostatnia aktualizacja :
27/11/2025
Antybiotyk   Dapsone  
Maści
Roztwór doustny
Stabilność preparatów farmaceutycznych Trwałość w mieszaninie Czynnik wpływający na trwałość Zgodność Bibliografia pdf
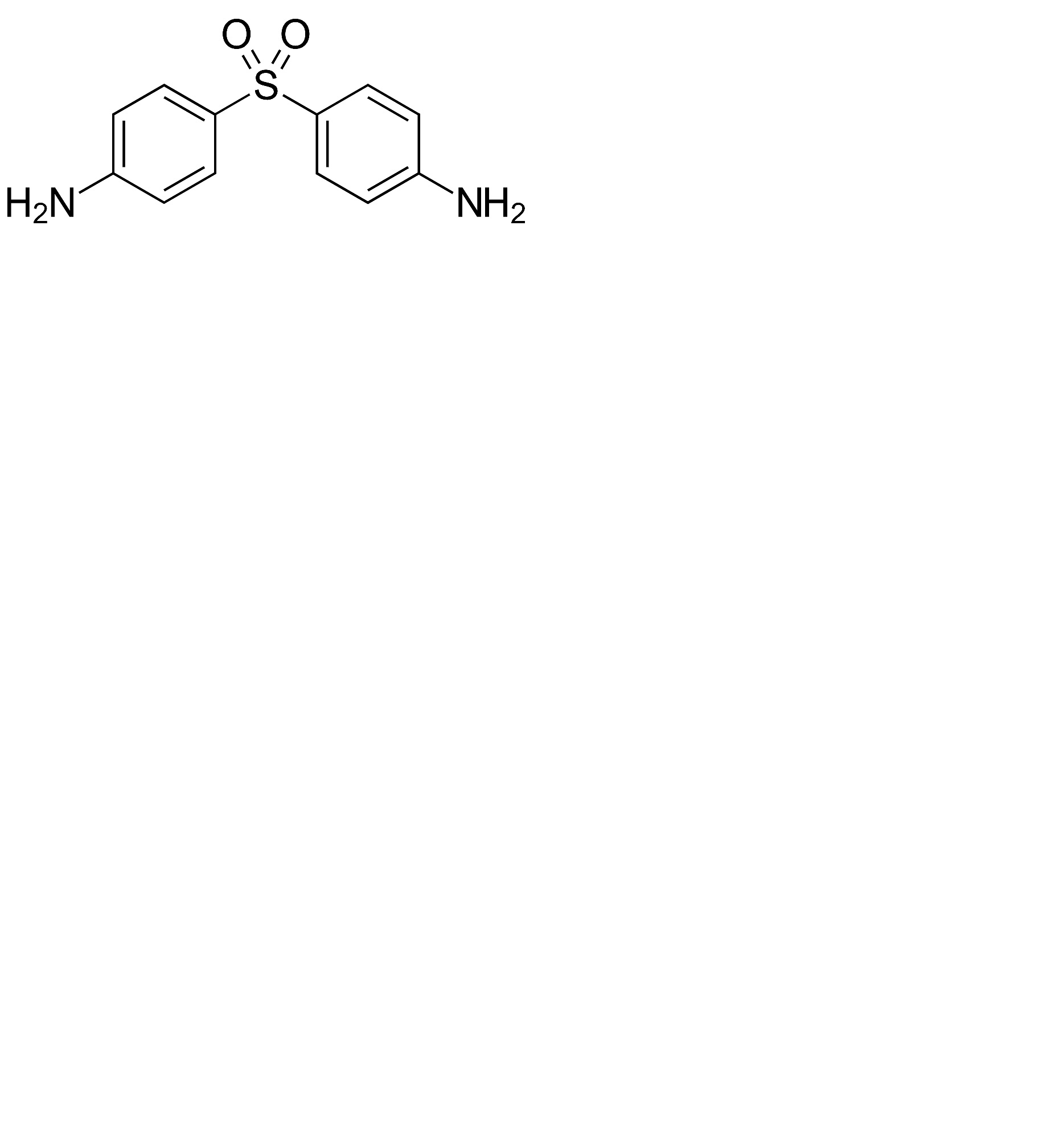
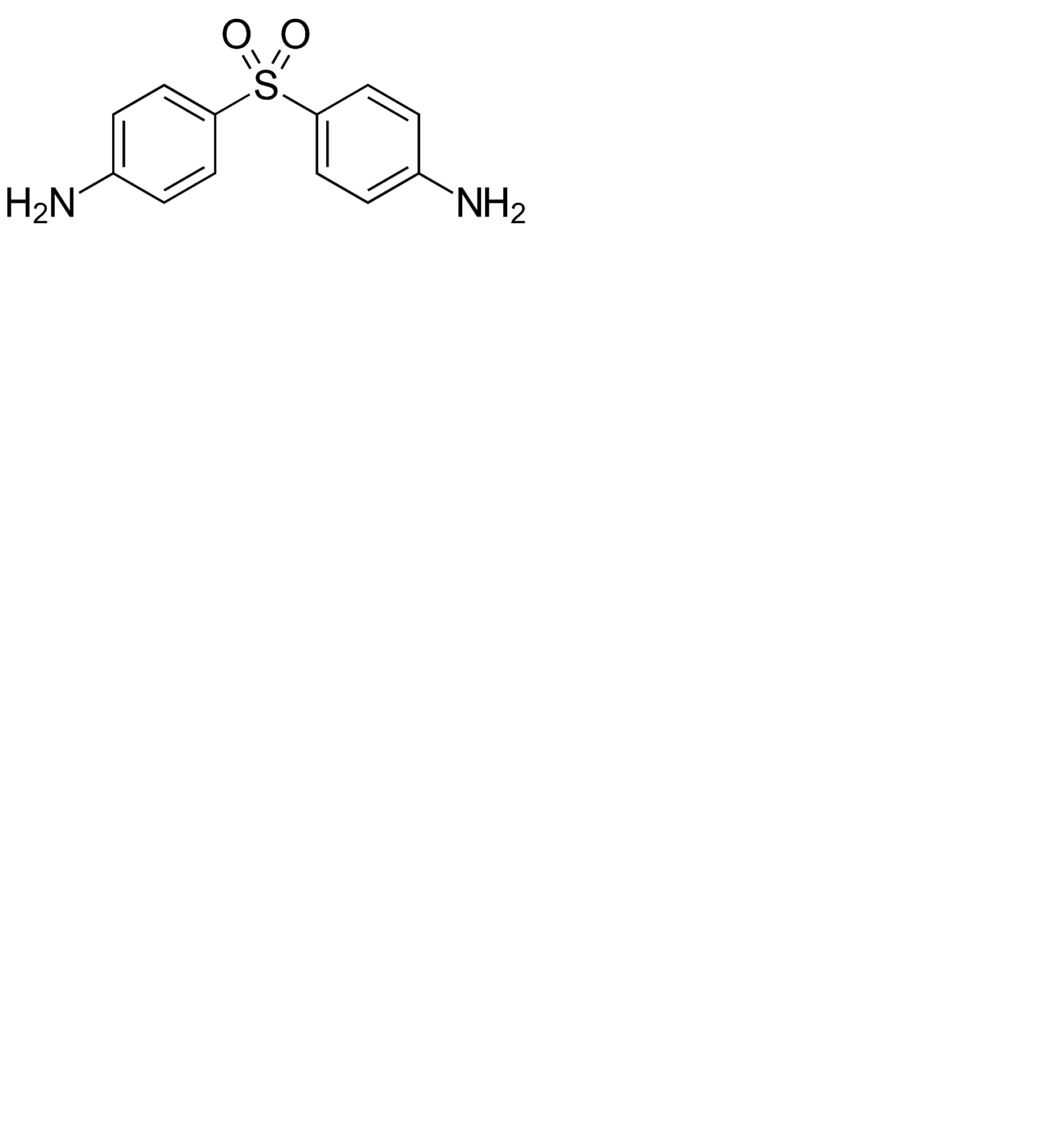
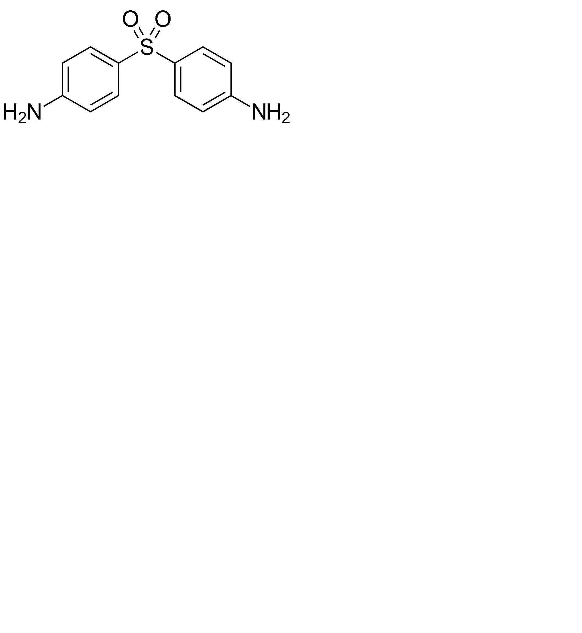
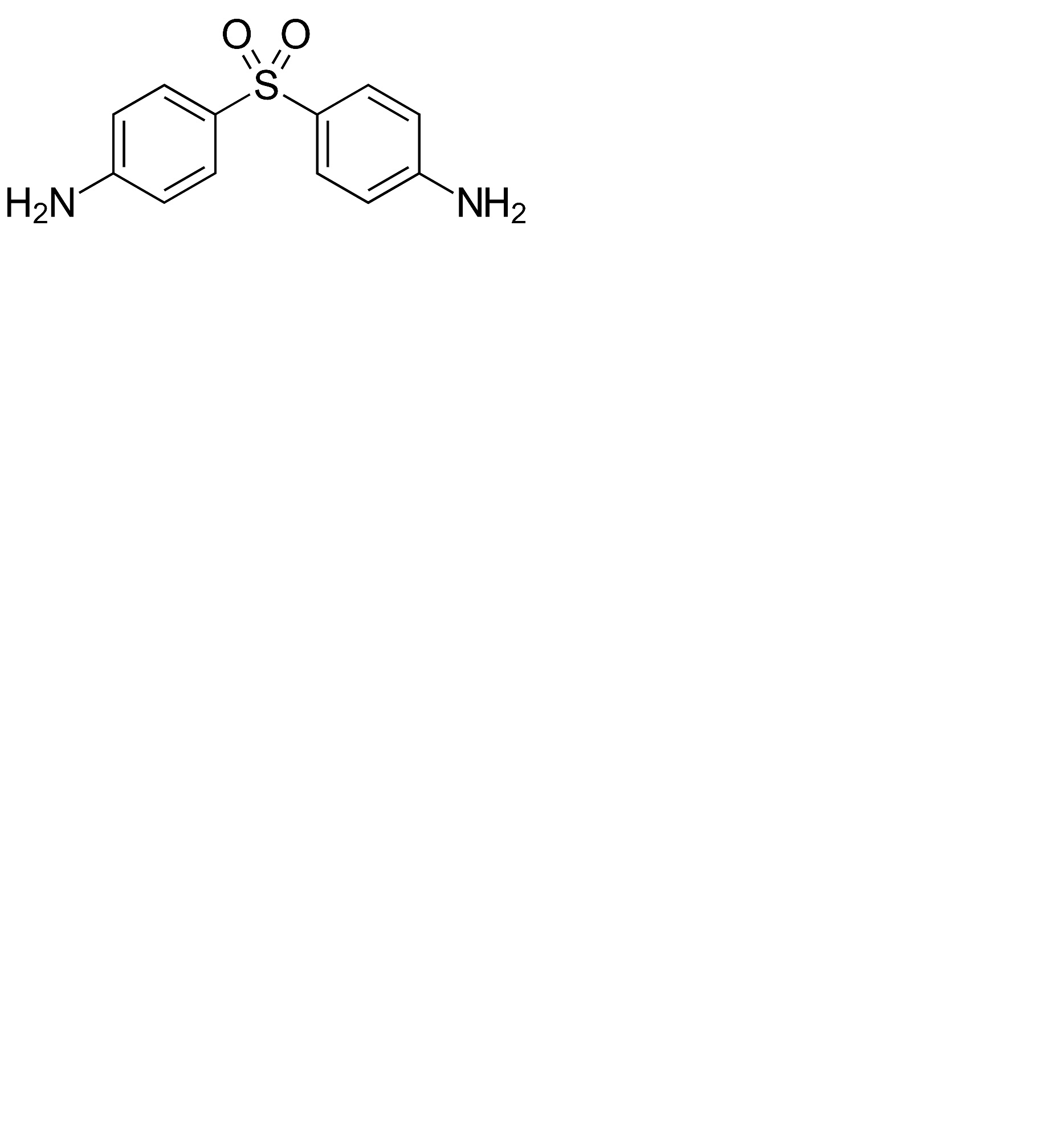
   Struktura chemiczna  

Maści
Trwałość w mieszaninie   Maści   Trwałość w mieszaninie : Dapsone     
Brak danych

  Mentions Légales