آخر تحديث :
18/03/2026
مضاد حيوي   Dapsone  
المراهم
عن طريق الفم
استقرار المستحضرات الصيدلانية استقرار مخاليط العوامل التي تؤثر على الاستقرار التوافق مراجع pdf
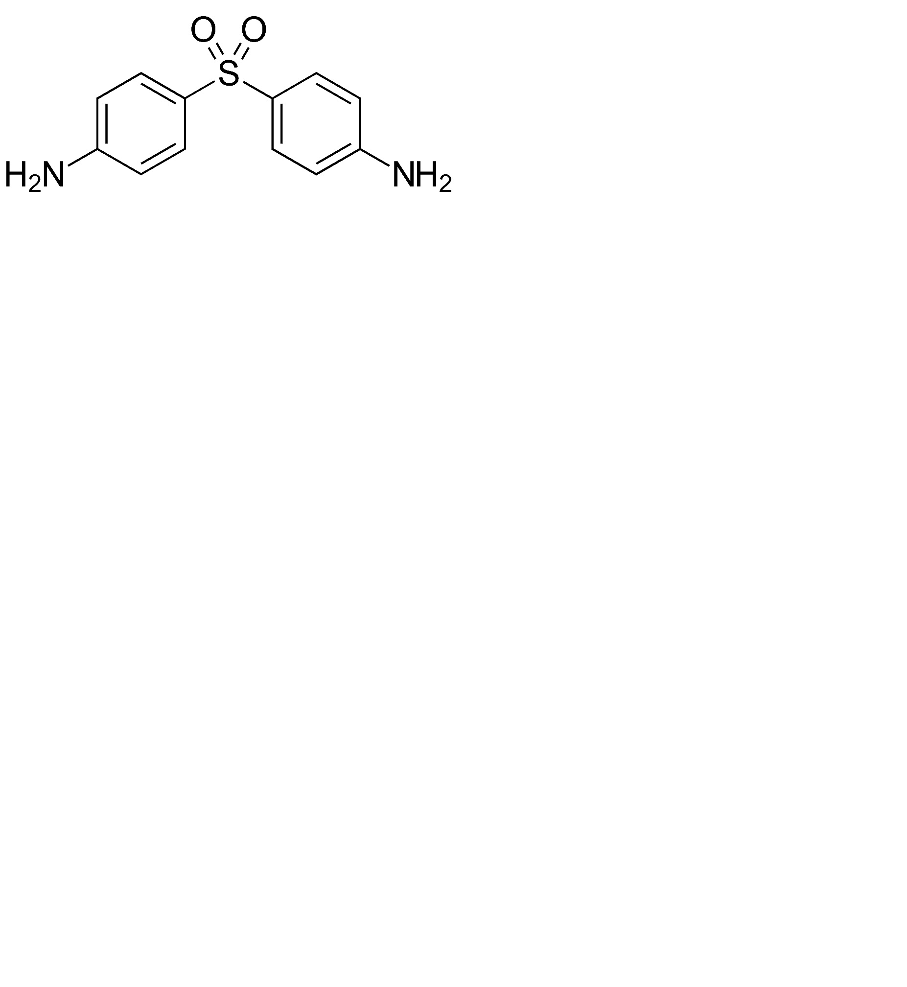
   التركيب الكيميائي  

المراهم
استقرار مخاليط   المراهم   استقرار مخاليط : Dapsone     
لا توجد بيانات

  Mentions Légales