Poslední aktualizace :
27/11/2025
Antibiotikum   Dapsone  
Masti
Perorální roztok
Stabilita farmaceutických přípravků Stabilita směsí Faktory ovlivňující stabilitu Kompatibilita Odkazy pdf
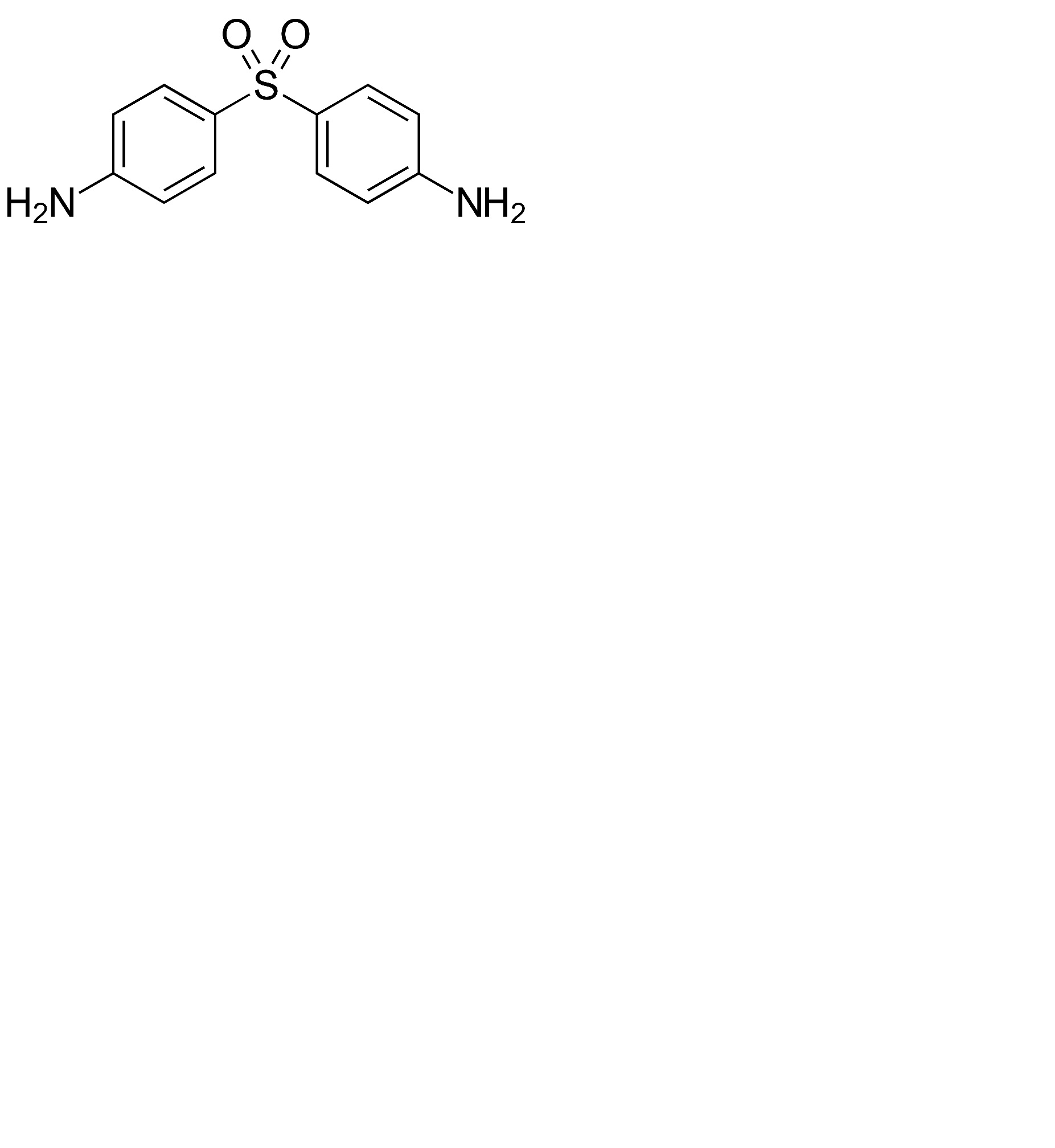
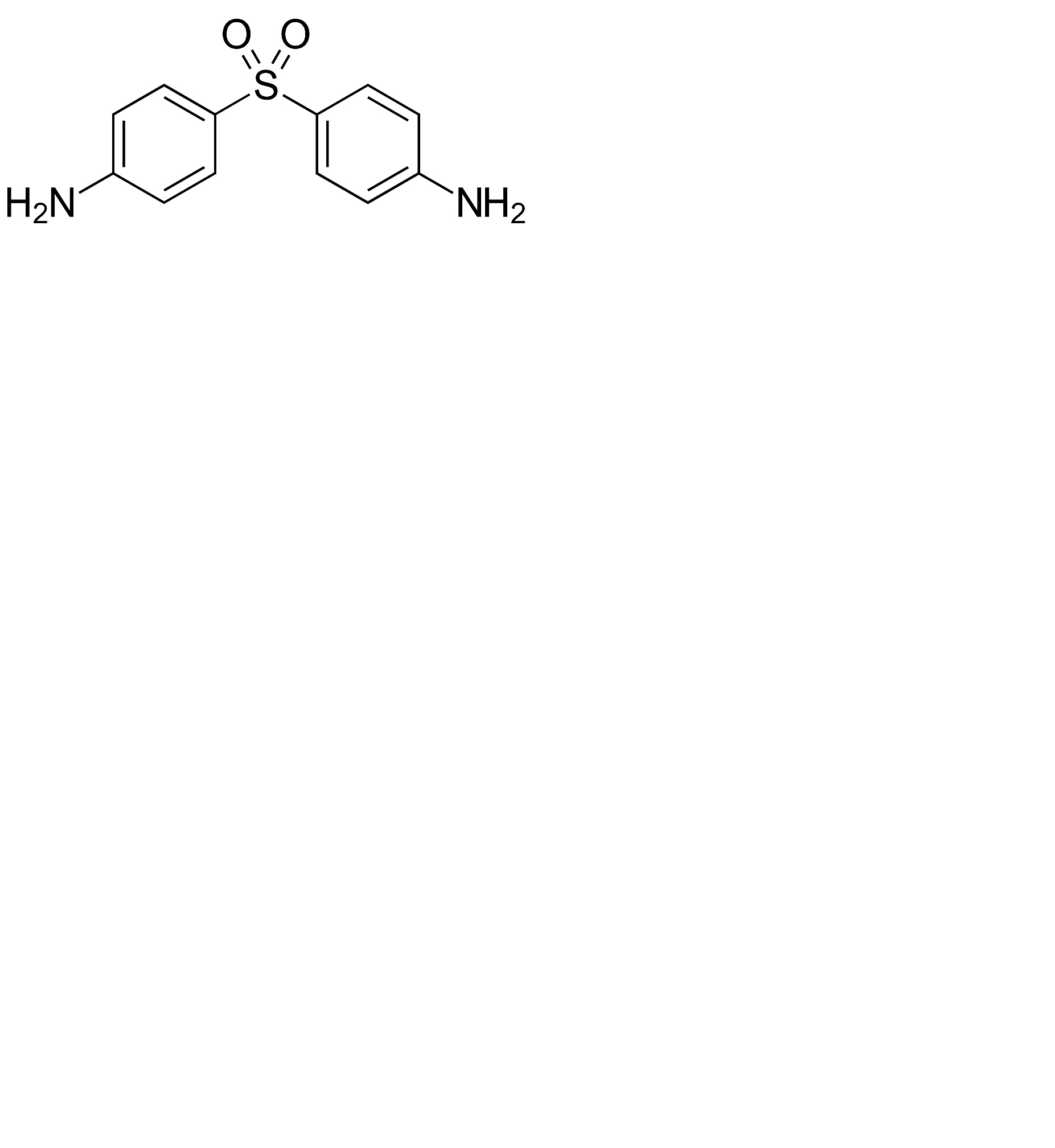
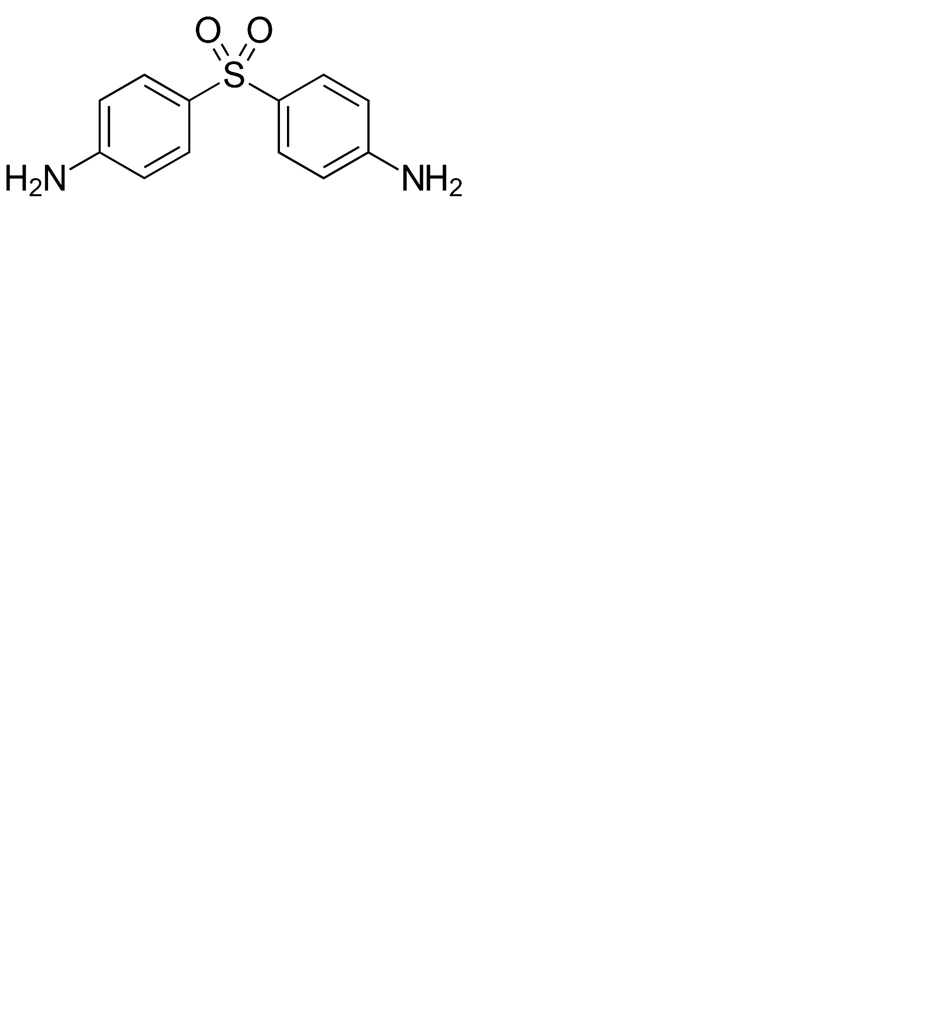
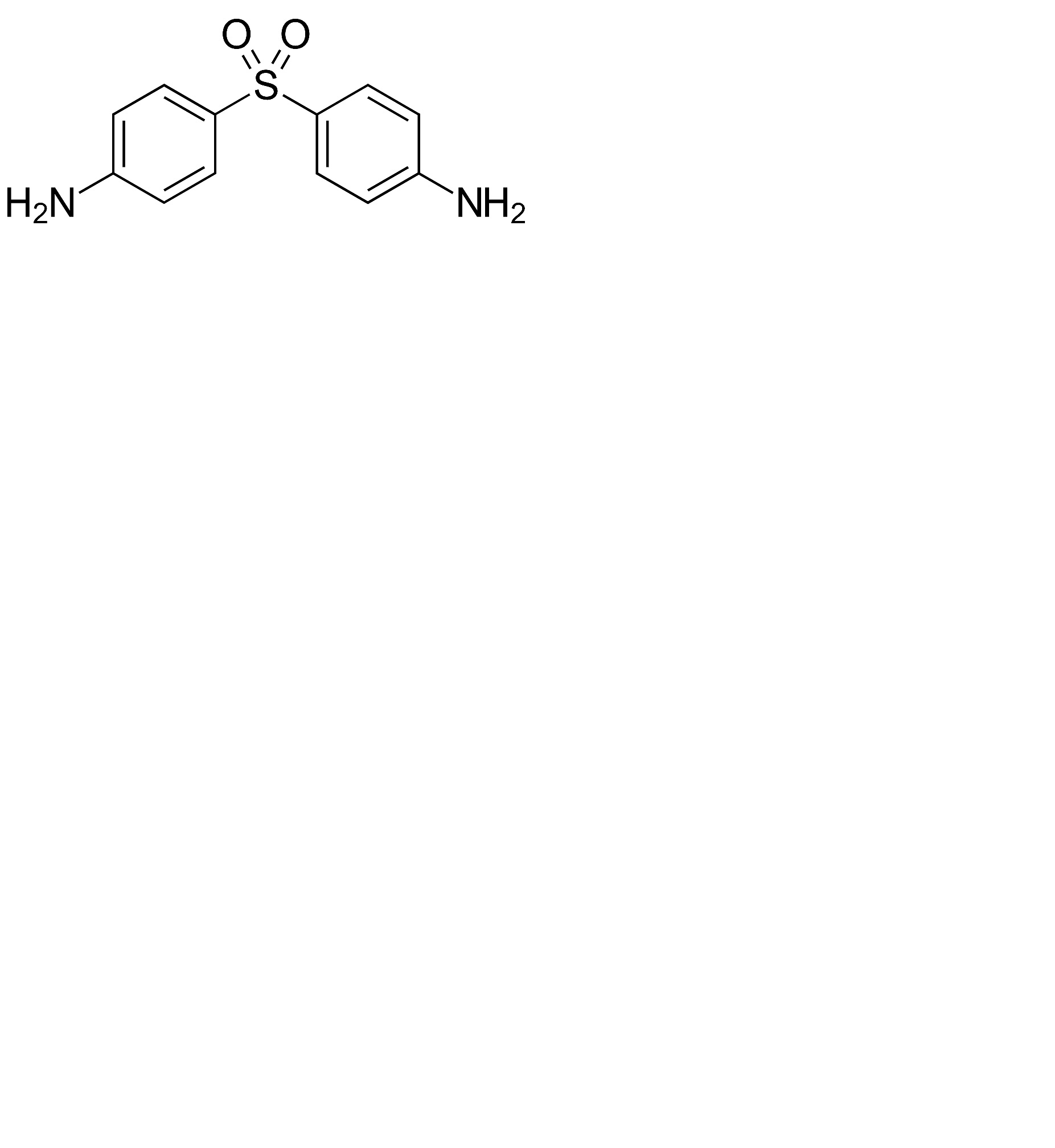
   Chemický vzorec  

Masti
Stabilita směsí   Masti   Stabilita směsí : Dapsone     
žádná data

  Mentions Légales