Последнее обновление :
18/03/2026
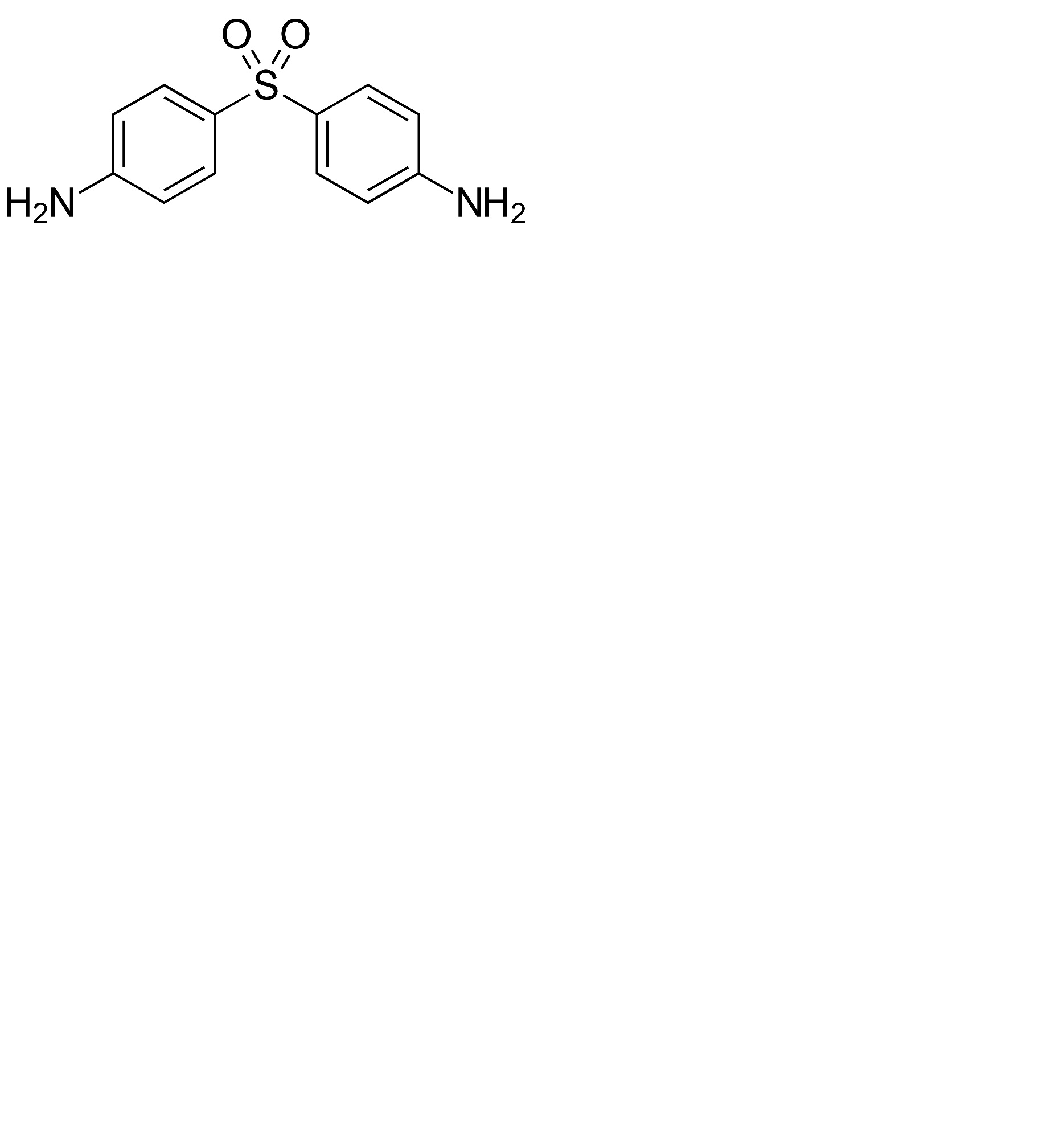
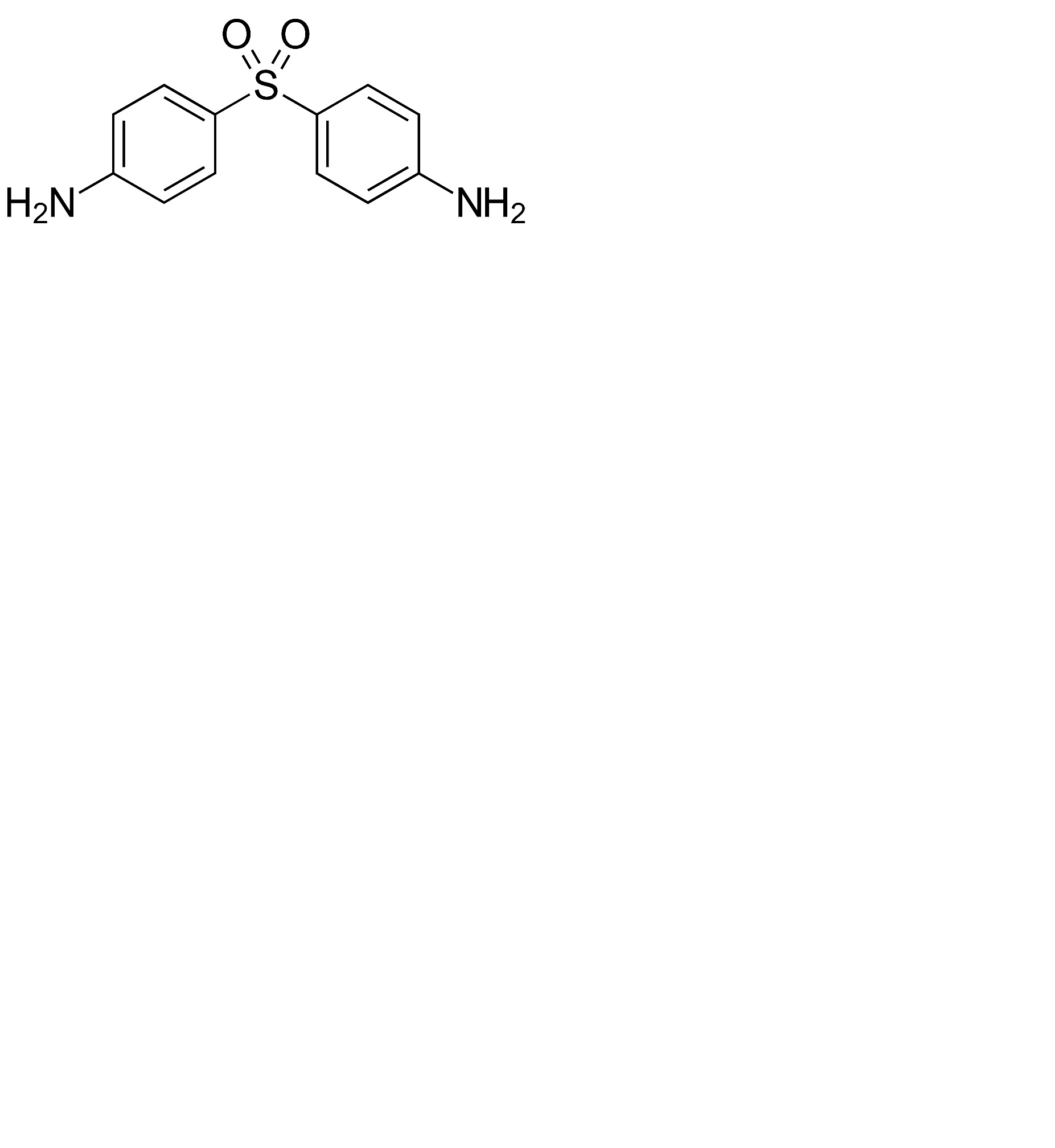
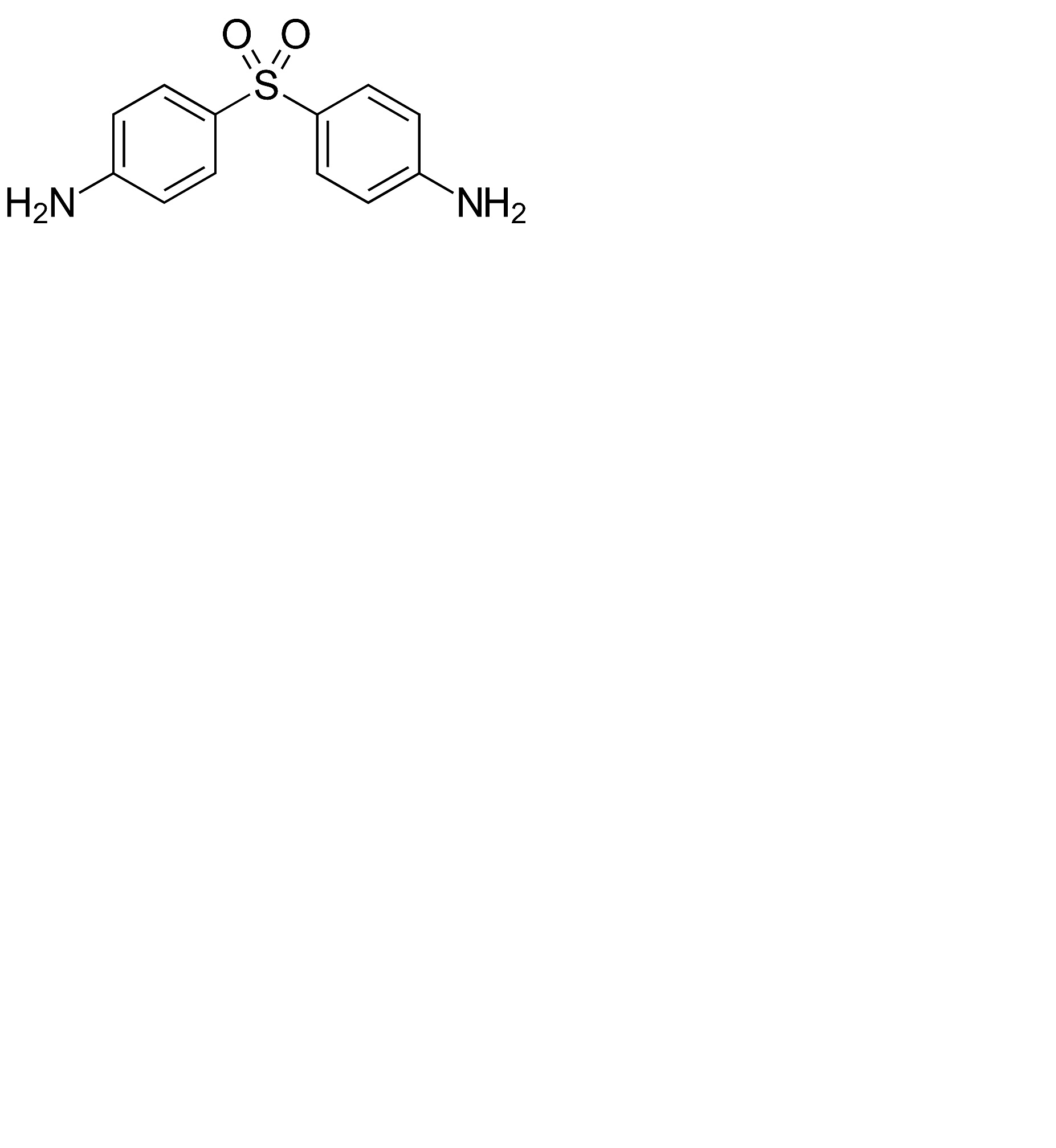
Антибиотик   Dapsone  
Мази
Раствор для перорального приёма
Стабильность фармацевтических препаратов Стабильность смесей Факторы, которые влияют на стабильность Совместимость Библиография pdf
   Химическая структура  

Мази
Стабильность смесей   Мази   Стабильность смесей : Dapsone     
данных нет

  Mentions Légales