Siste oppdatering :
18/03/2026
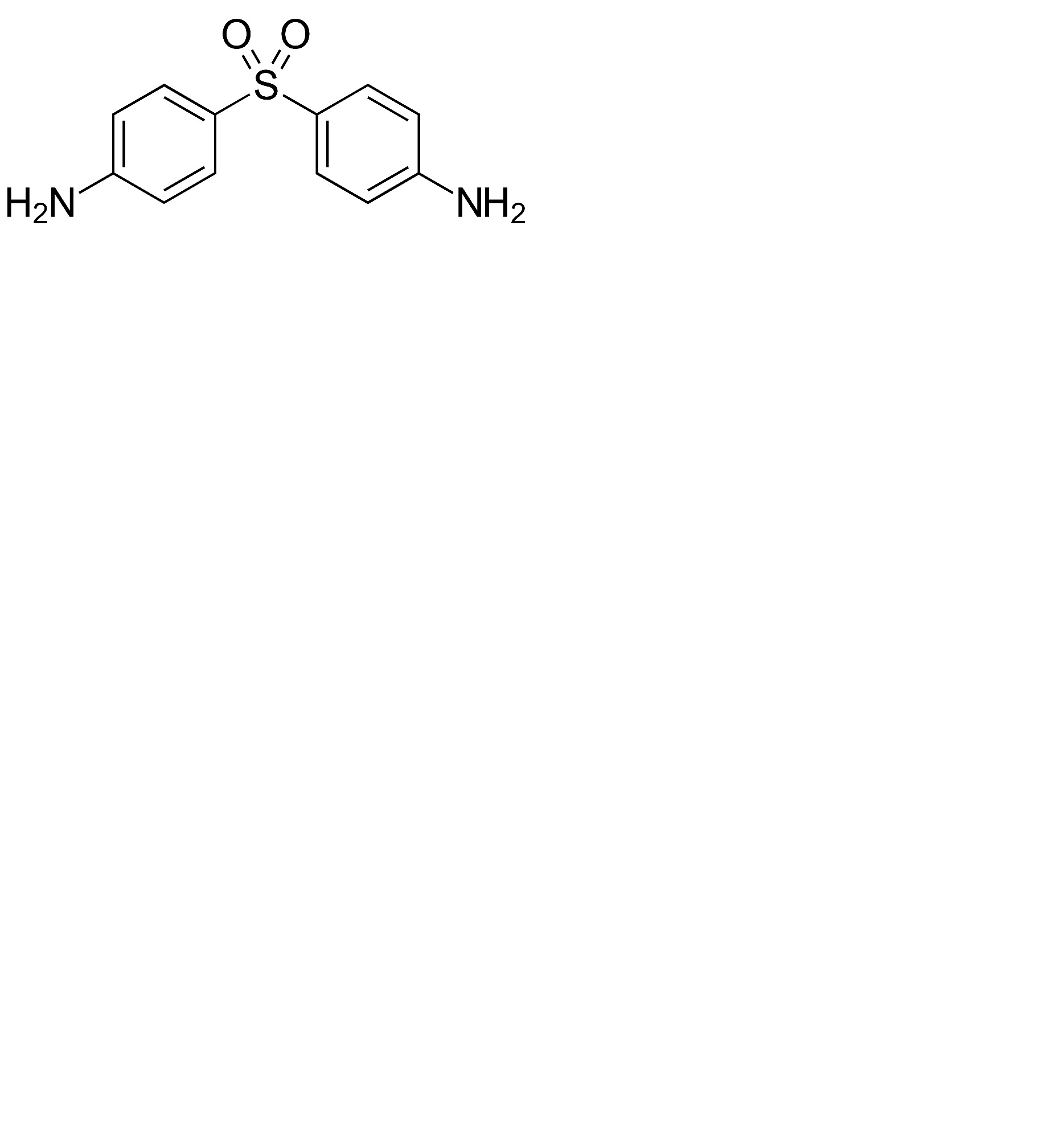
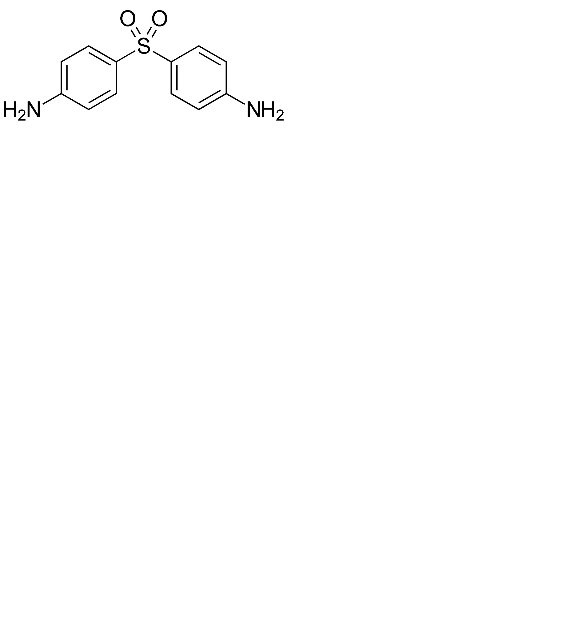
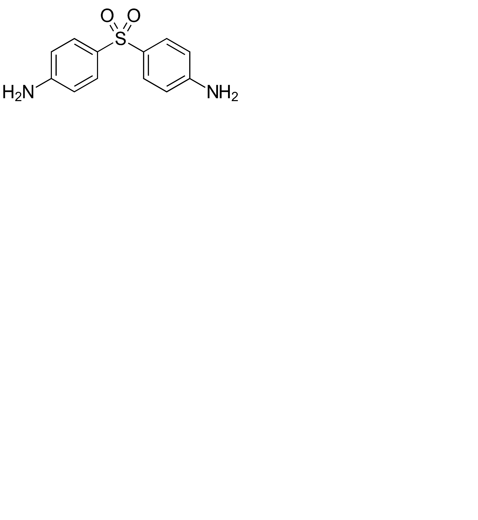
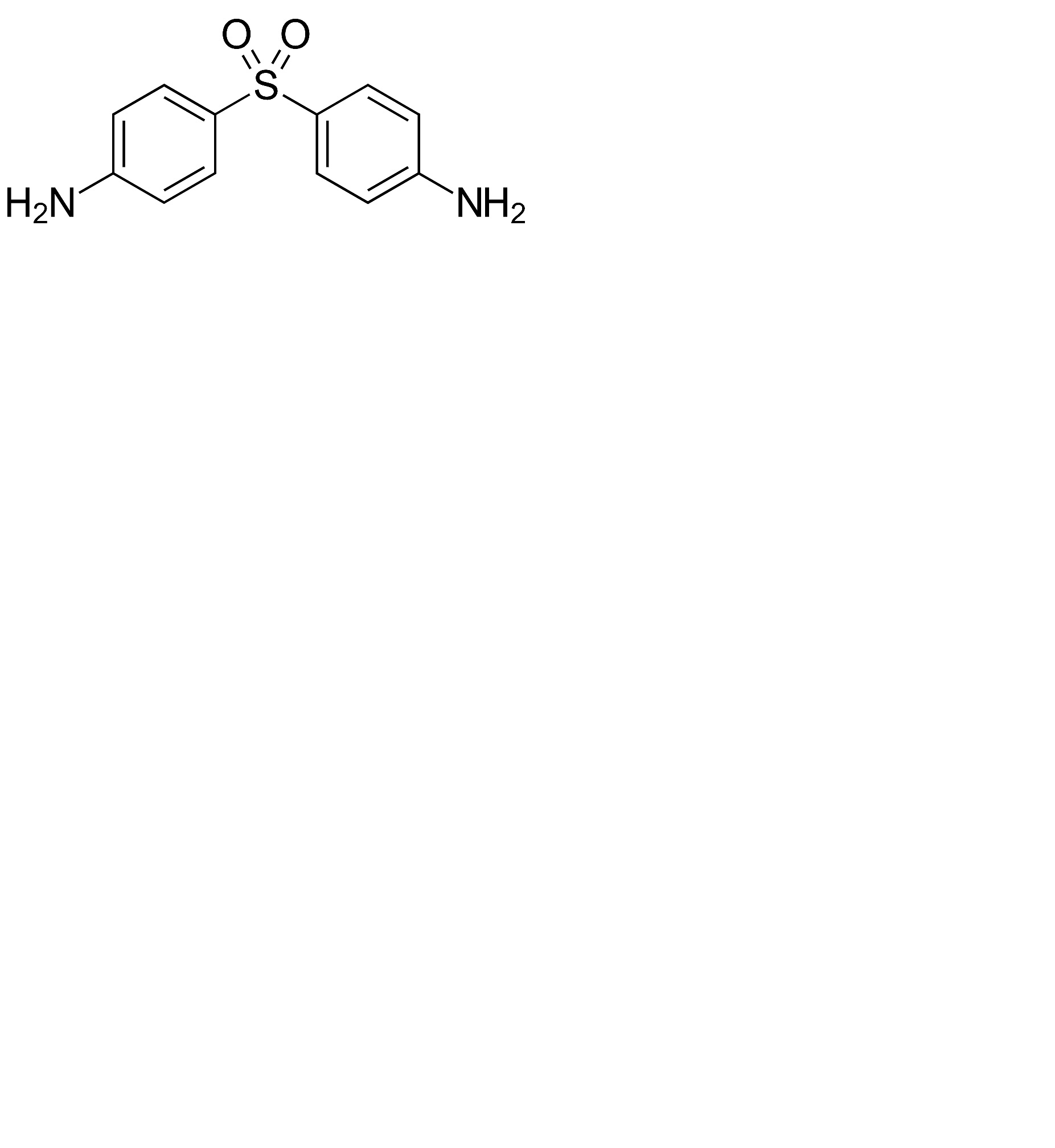
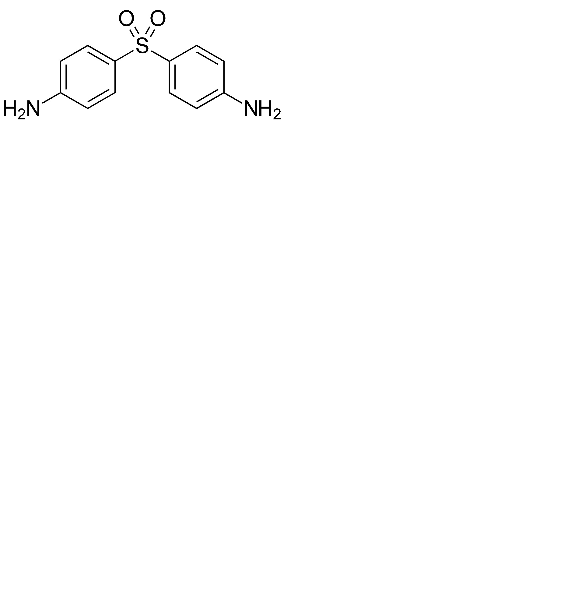
Antibiotika   Dapsone  
Salver
Mikstur
Stabilitet av farmasøytiske preparater Stabilitet i blandinger Faktorer som påvirker stabiliteten Kompatibilitet Referanser pdf
   Kjemisk struktur  

Salver
Stabilitet i blandinger   Salver   Stabilitet i blandinger : Dapsone     
Ingen opplysninger

  Mentions Légales